🇳🇴 🇬🇧 🇩🇪 🇨🇿 🇫🇮

Meteor Hauge i Dalanen yllä 2022-01-03 21:15:28 UTC

KML-tiedosto  |  Interaktiivinen kartta

Kartta näyttää meteorin suuntahavainnot. Vaaleammat viivat näyttävät suunnat havaintoasemilta meteorin ilmestyessä, ja tummemmat viivat näyttävät, missä se viimeksi nähtiin. Sininen nuoli näyttää meteorin näkyvän lennon.

static map
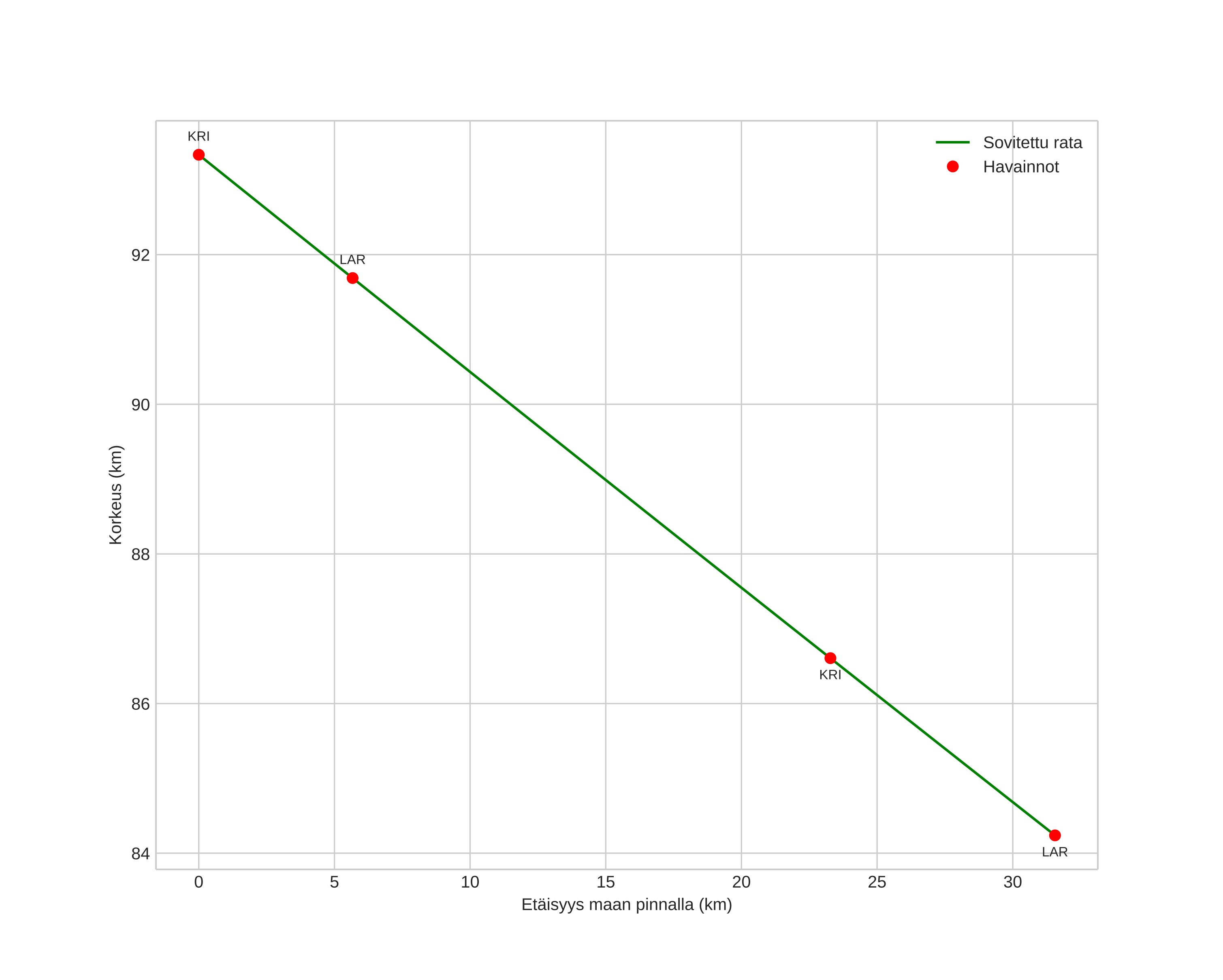
height profile
Meteorin ilmakehärata:
Alkukorkeus: 93,3 km
Loppukorkeus: 84,2 km
Alkupiste: 58,426N 6,274E
Loppupiste: 58,155N 6,115E
Suunta: 197,1°
Kallistuskulma: 16,1°
Tulonopeus: 45,0 km/s
Radiantin R,A,: 15:01 (225,3°)
Radiantin Dekl,: 44,7°
Meteoriparvi: Kvadrantidit
Meteoroidin rataelementit:
Perihelietäisyys: 0,976 AU
Eksentrisyys: 0,571
Inklinaatio: 78,8°
Nousevan solmun pituus: 283,2°
Perihelin argumentti: 168,1°
Keskianomalia: 2,7°
Epookki: 2022 JAN 03 21:15:28
orbit plot

Ei-interaktiivinen kuvaaja | Interaktiivinen kuvaaja

position vs time
speed and acceleration