🇳🇴 🇬🇧 🇩🇪 🇨🇿 🇫🇮

Meteor, poloha: Utsira 2022-01-06 04:24:03 UTC

Soubor KML  |  InteraktivnĂ­ mapa

Mapa zobrazuje dráhy meteoru. Světlejší čáry ukazují směry od pozorovacích stanic při objevení se meteoru a tmavší čáry, kde byl naposledy viděn. Modrá šipka značí viditelnou dráhu meteoru.

static map
height profile
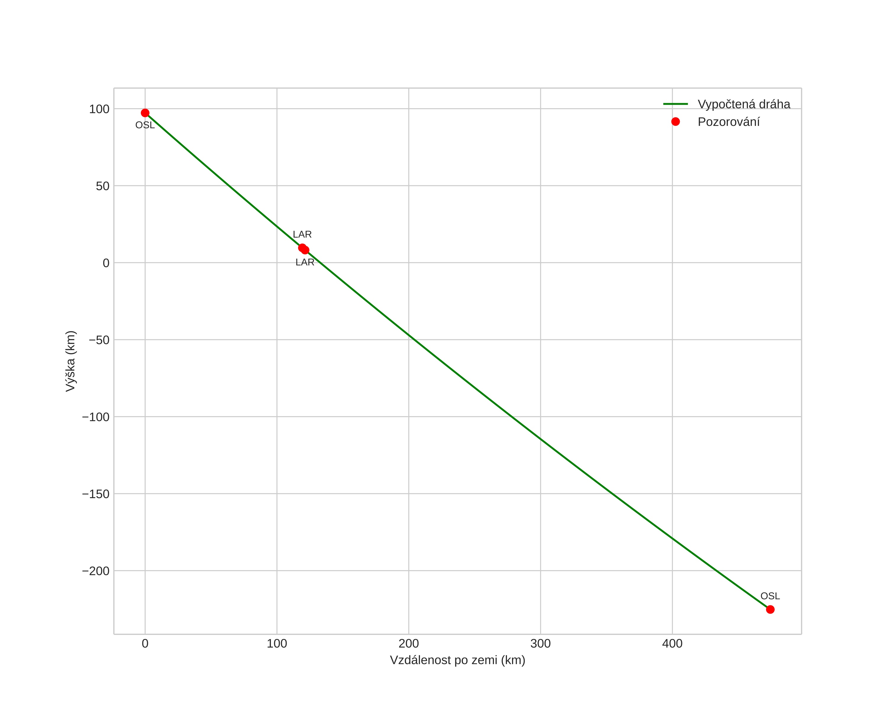
Atmosférická dráha meteoru:
Počáteční výška: 97,2 km
Konečná výška: -225,2 km
Počáteční poloha: 59,298N 11,864E
Konečná poloha: 58,011N 4,040E
Směr: 255,8°
Sklon: 34,2°
VstupnĂ­ rychlost: 4,5 km/s
orbit plot
position vs time
speed and acceleration