🇳🇴 🇬🇧 🇩🇪 🇨🇿 🇫🇮

Meteor Utsiran yllä 2022-01-06 04:24:03 UTC

KML-tiedosto  |  Interaktiivinen kartta

Kartta näyttää meteorin suuntahavainnot. Vaaleammat viivat näyttävät suunnat havaintoasemilta meteorin ilmestyessä, ja tummemmat viivat näyttävät, missä se viimeksi nähtiin. Sininen nuoli näyttää meteorin näkyvän lennon.

static map
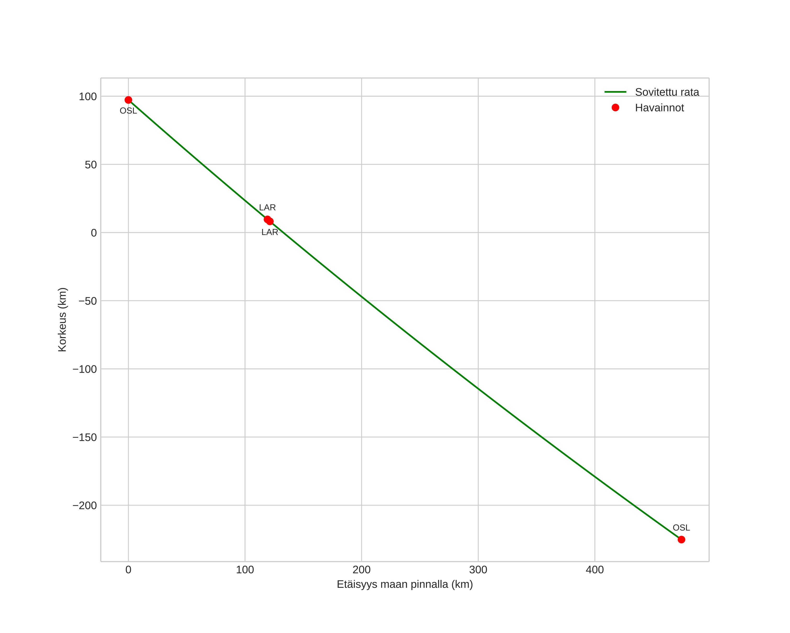
height profile
Meteorin ilmakehärata:
Alkukorkeus: 97,2 km
Loppukorkeus: -225,2 km
Alkupiste: 59,298N 11,864E
Loppupiste: 58,011N 4,040E
Suunta: 255,8°
Kallistuskulma: 34,2°
Tulonopeus: 4,5 km/s
orbit plot
position vs time
speed and acceleration