🇳🇴 🇬🇧 🇩🇪 🇨🇿 🇫🇮

Meteor, poloha: Vik 2022-01-06 04:51:47 UTC

Soubor KML  |  InteraktivnĂ­ mapa

Mapa zobrazuje dráhy meteoru. Světlejší čáry ukazují směry od pozorovacích stanic při objevení se meteoru a tmavší čáry, kde byl naposledy viděn. Modrá šipka značí viditelnou dráhu meteoru.

static map
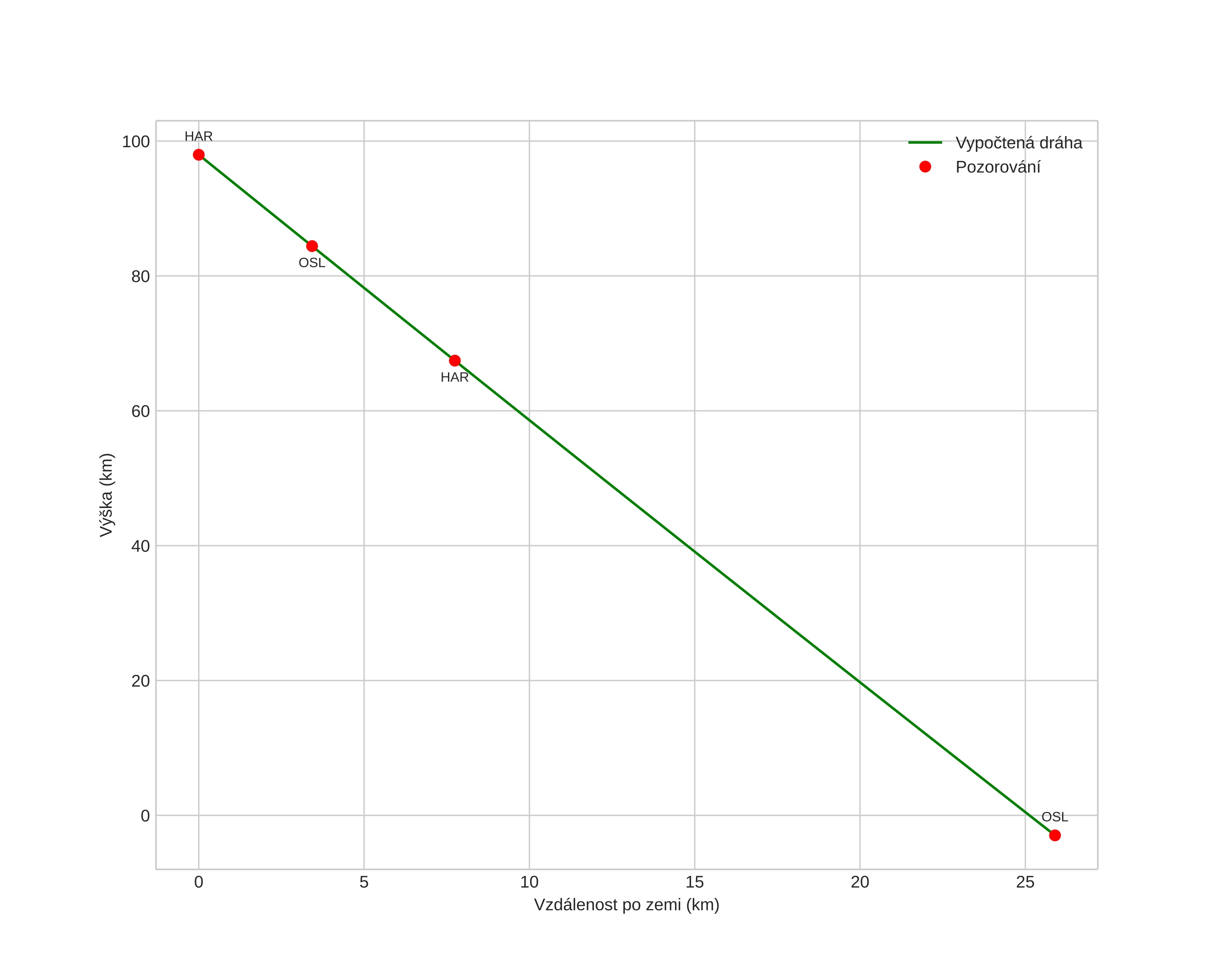
height profile
Atmosférická dráha meteoru:
Počáteční výška: 122,9 km
Konečná výška: 59,5 km
Počáteční poloha: 59,974N 9,858E
Konečná poloha: 59,962N 10,168E
Směr: 94,4°
Sklon: 74,7°
VstupnĂ­ rychlost: 73,0 km/s
Rektascenze radiantu: 10:33 (158,4°)
Deklinace radiantu: 57,6°
MeteorickĂ˝ roj: sporadickĂ˝
Elementy dráhy meteoroidu:
Vzdálenost v periheliu: 0,672 AU
Excentricita: 3,146
Sklon dráhy: 83,6°
Délka vzestupného uzlu: 285,5°
Argument perihelia: 234,3°
Střední anomálie: -109,7°
Epocha: 2022 JAN 06 04:51:47
orbit plot

NeinteraktivnĂ­ graf | InteraktivnĂ­ graf

position vs time
speed and acceleration