🇳🇴 🇬🇧 🇩🇪 🇨🇿 🇫🇮

Meteor Vikin yllä 2022-01-06 04:51:47 UTC

KML-tiedosto  |  Interaktiivinen kartta

Kartta näyttää meteorin suuntahavainnot. Vaaleammat viivat näyttävät suunnat havaintoasemilta meteorin ilmestyessä, ja tummemmat viivat näyttävät, missä se viimeksi nähtiin. Sininen nuoli näyttää meteorin näkyvän lennon.

static map
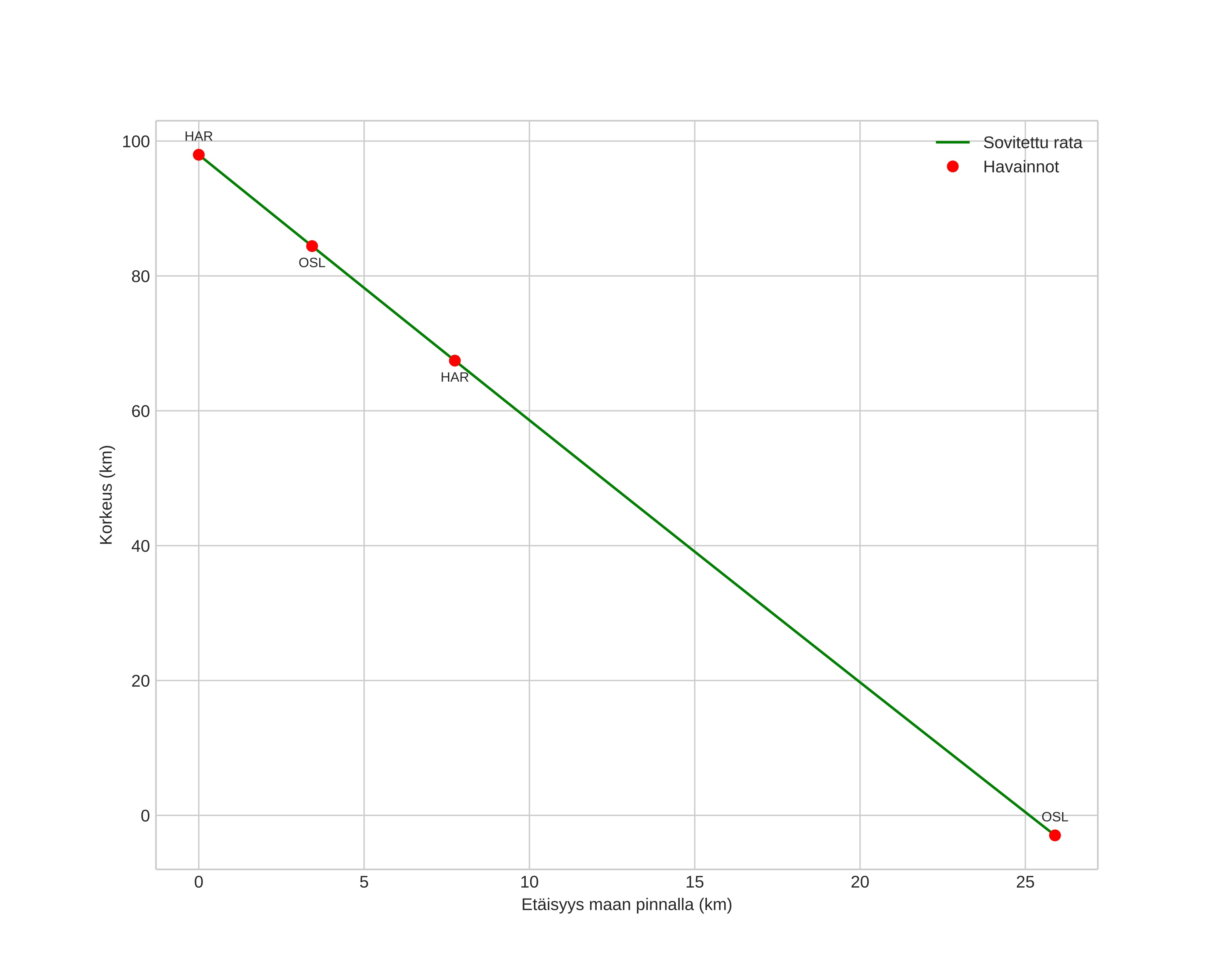
height profile
Meteorin ilmakehärata:
Alkukorkeus: 122,9 km
Loppukorkeus: 59,5 km
Alkupiste: 59,974N 9,858E
Loppupiste: 59,962N 10,168E
Suunta: 94,4°
Kallistuskulma: 74,7°
Tulonopeus: 73,0 km/s
Radiantin R,A,: 10:33 (158,4°)
Radiantin Dekl,: 57,6°
Meteoriparvi: Sporadinen
Meteoroidin rataelementit:
Perihelietäisyys: 0,672 AU
Eksentrisyys: 3,146
Inklinaatio: 83,6°
Nousevan solmun pituus: 285,5°
Perihelin argumentti: 234,3°
Keskianomalia: -109,7°
Epookki: 2022 JAN 06 04:51:47
orbit plot

Ei-interaktiivinen kuvaaja | Interaktiivinen kuvaaja

position vs time
speed and acceleration