🇳🇴 🇬🇧 🇩🇪 🇨🇿 🇫🇮

Meteor, poloha: Storslett 2022-01-06 20:03:35 UTC

Soubor KML  |  InteraktivnĂ­ mapa

Mapa zobrazuje dráhy meteoru. Světlejší čáry ukazují směry od pozorovacích stanic při objevení se meteoru a tmavší čáry, kde byl naposledy viděn. Modrá šipka značí viditelnou dráhu meteoru.

static map
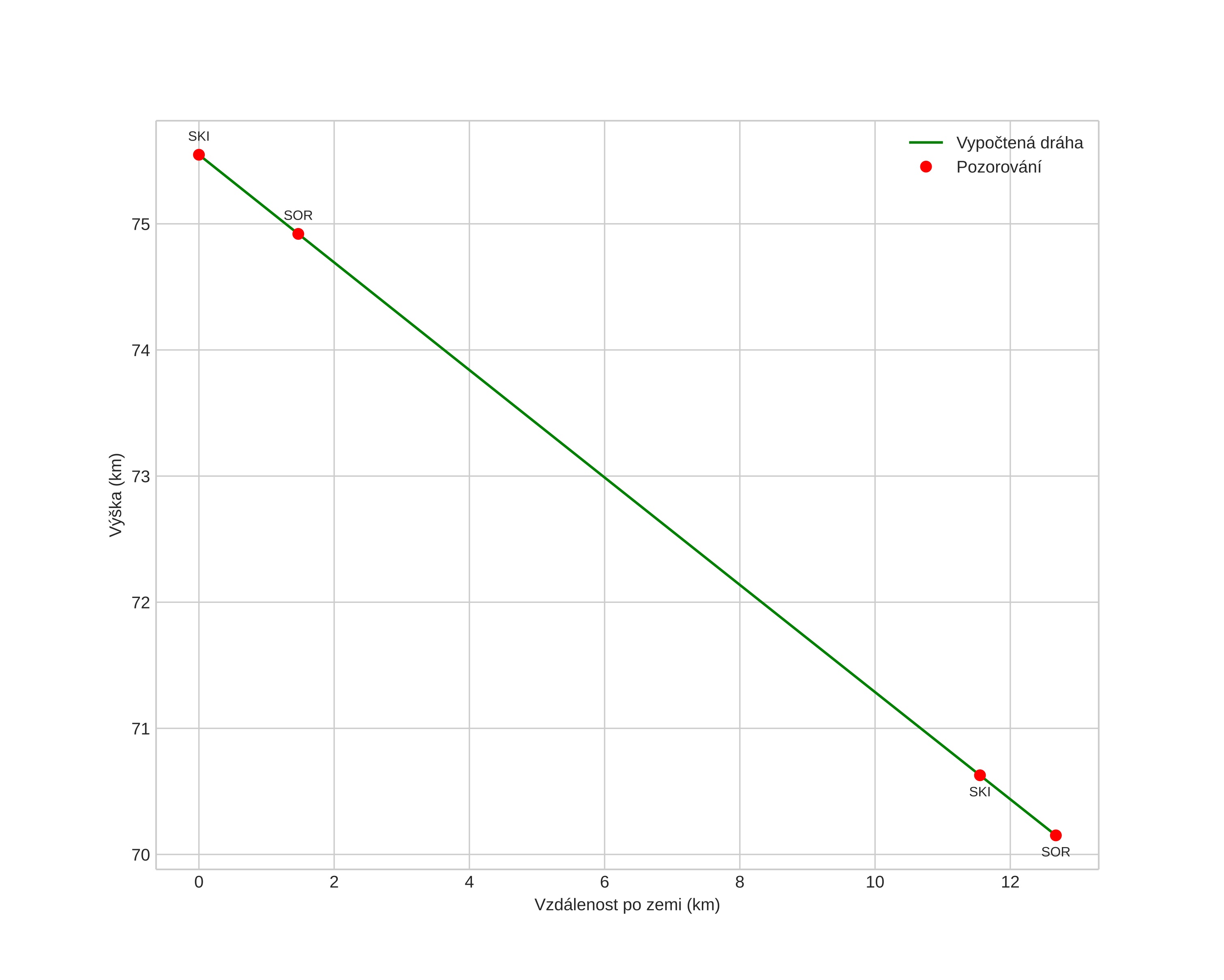
height profile
Atmosférická dráha meteoru:
Počáteční výška: 76,2 km
Konečná výška: 70,1 km
Počáteční poloha: 68,882N 20,953E
Konečná poloha: 68,979N 21,137E
Směr: 34,4°
Sklon: 25,1°
VstupnĂ­ rychlost: 13,2 km/s
Rektascenze radiantu: 02:07 (31,8°)
Deklinace radiantu: -13,3°
MeteorickĂ˝ roj: sporadickĂ˝
Elementy dráhy meteoroidu:
Vzdálenost v periheliu: 0,982 AU
Excentricita: 0,521
Sklon dráhy: 4,7°
Délka vzestupného uzlu: 106,2°
Argument perihelia: 4,3°
Střední anomálie: 358,8°
Epocha: 2022 JAN 06 20:03:35
orbit plot

NeinteraktivnĂ­ graf | InteraktivnĂ­ graf

position vs time
speed and acceleration