🇳🇴 🇬🇧 🇩🇪 🇨🇿 🇫🇮

Meteor Storslettin yllä 2022-01-06 20:03:35 UTC

KML-tiedosto  |  Interaktiivinen kartta

Kartta näyttää meteorin suuntahavainnot. Vaaleammat viivat näyttävät suunnat havaintoasemilta meteorin ilmestyessä, ja tummemmat viivat näyttävät, missä se viimeksi nähtiin. Sininen nuoli näyttää meteorin näkyvän lennon.

static map
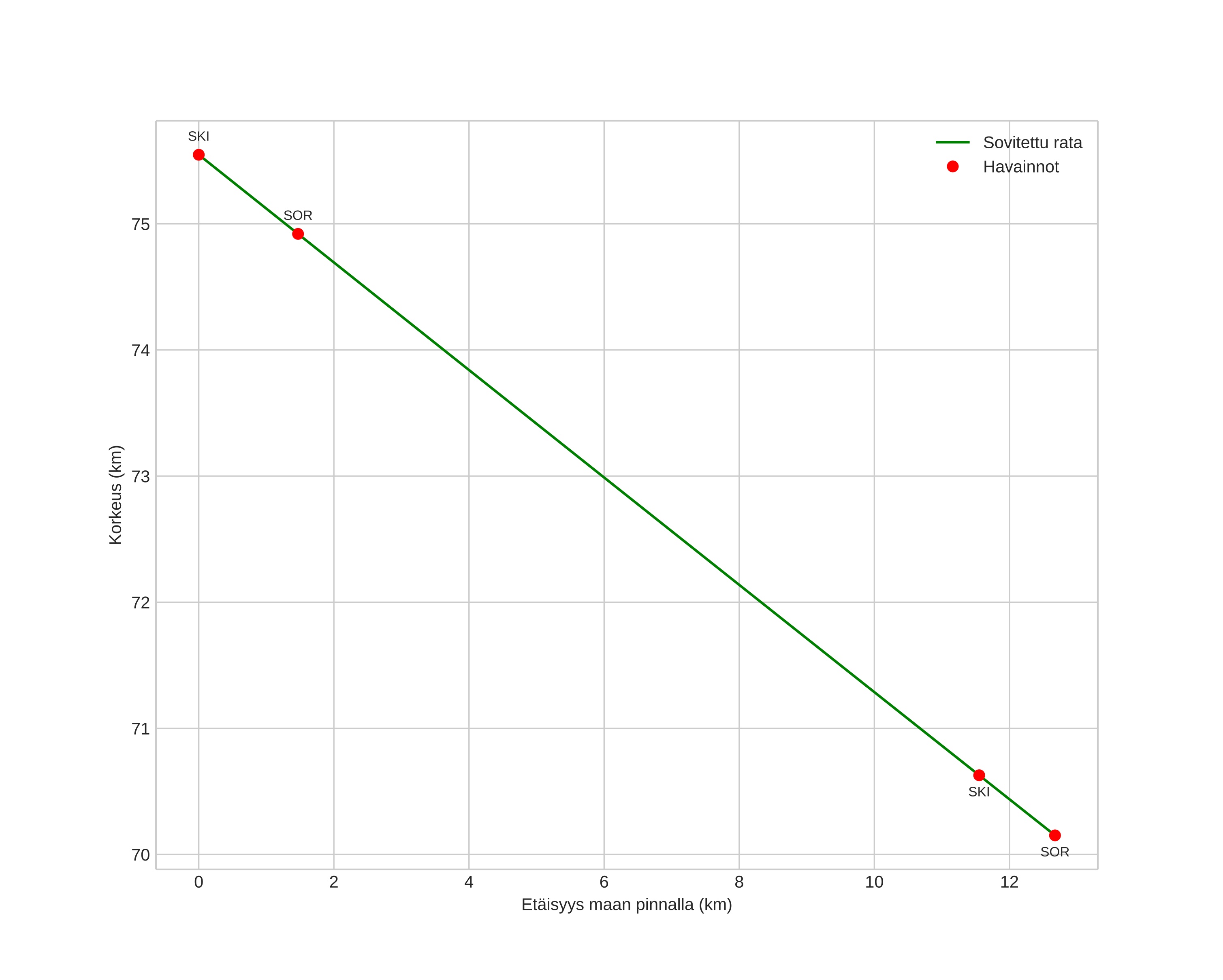
height profile
Meteorin ilmakehärata:
Alkukorkeus: 76,2 km
Loppukorkeus: 70,1 km
Alkupiste: 68,882N 20,953E
Loppupiste: 68,979N 21,137E
Suunta: 34,4°
Kallistuskulma: 25,1°
Tulonopeus: 13,2 km/s
Radiantin R,A,: 02:07 (31,8°)
Radiantin Dekl,: -13,3°
Meteoriparvi: Sporadinen
Meteoroidin rataelementit:
Perihelietäisyys: 0,982 AU
Eksentrisyys: 0,521
Inklinaatio: 4,7°
Nousevan solmun pituus: 106,2°
Perihelin argumentti: 4,3°
Keskianomalia: 358,8°
Epookki: 2022 JAN 06 20:03:35
orbit plot

Ei-interaktiivinen kuvaaja | Interaktiivinen kuvaaja

position vs time
speed and acceleration