🇳🇴 🇬🇧 🇩🇪 🇨🇿 🇫🇮

Meteor, poloha: Sortland 2022-01-07 15:25:18 UTC

Soubor KML  |  InteraktivnĂ­ mapa

Mapa zobrazuje dráhy meteoru. Světlejší čáry ukazují směry od pozorovacích stanic při objevení se meteoru a tmavší čáry, kde byl naposledy viděn. Modrá šipka značí viditelnou dráhu meteoru.

static map
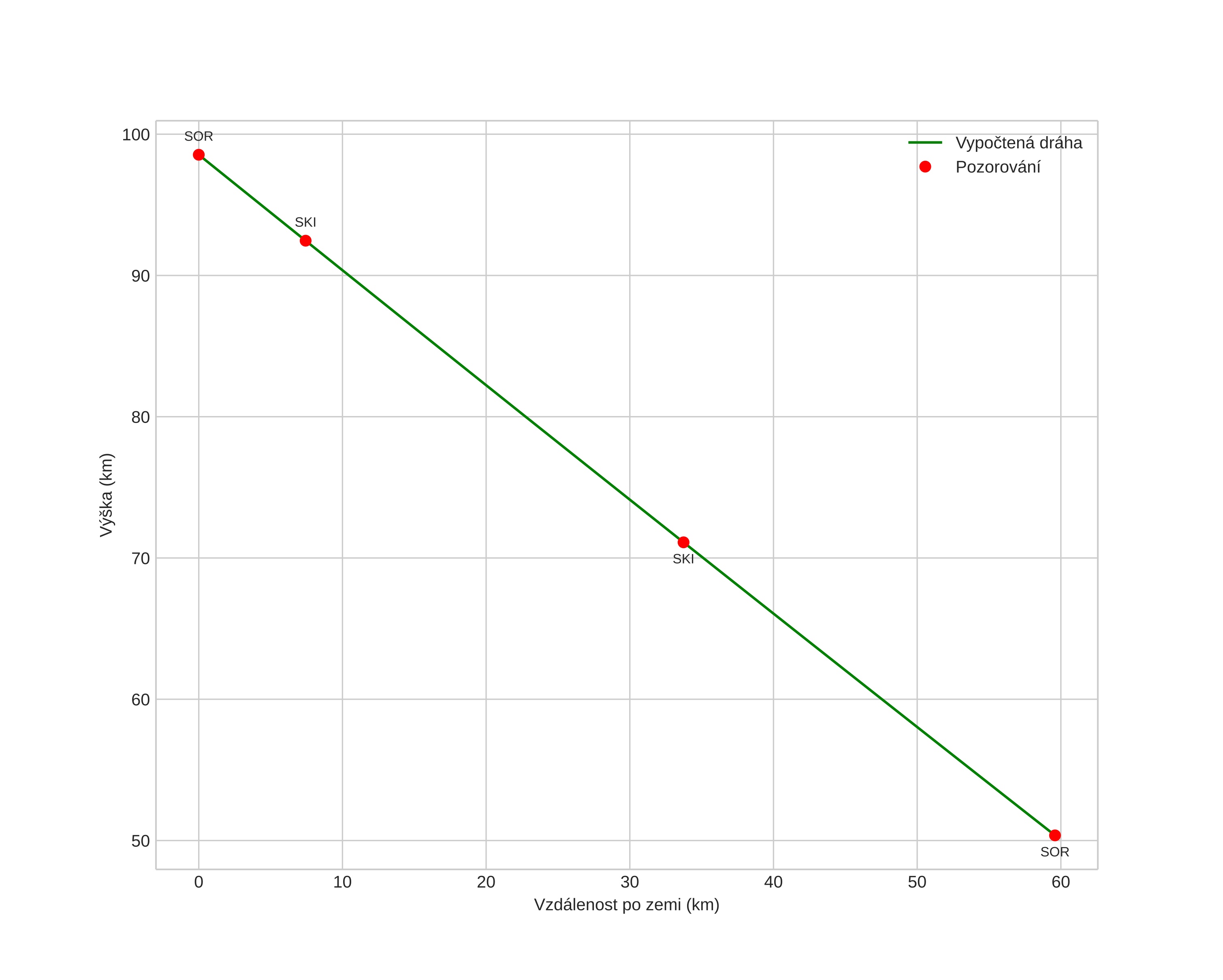
height profile
Atmosférická dráha meteoru:
Počáteční výška: 95,3 km
Konečná výška: 48,9 km
Počáteční poloha: 68,958N 14,482E
Konečná poloha: 68,530N 15,229E
Směr: 147,3°
Sklon: 39,5°
VstupnĂ­ rychlost: 39,7 km/s
Rektascenze radiantu: 14:41 (220,3°)
Deklinace radiantu: 54,7°
MeteorickĂ˝ roj: Kvadrantidy
Elementy dráhy meteoroidu:
Vzdálenost v periheliu: 0,965 AU
Excentricita: 0,545
Sklon dráhy: 67,8°
Délka vzestupného uzlu: 287,0°
Argument perihelia: 198,6°
Střední anomálie: 355,4°
Epocha: 2022 JAN 07 15:25:18
orbit plot

NeinteraktivnĂ­ graf | InteraktivnĂ­ graf

position vs time
speed and acceleration