🇳🇴 🇬🇧 🇩🇪 🇨🇿 🇫🇮

Meteor Sortlandin yllä 2022-01-07 15:25:18 UTC

KML-tiedosto  |  Interaktiivinen kartta

Kartta näyttää meteorin suuntahavainnot. Vaaleammat viivat näyttävät suunnat havaintoasemilta meteorin ilmestyessä, ja tummemmat viivat näyttävät, missä se viimeksi nähtiin. Sininen nuoli näyttää meteorin näkyvän lennon.

static map
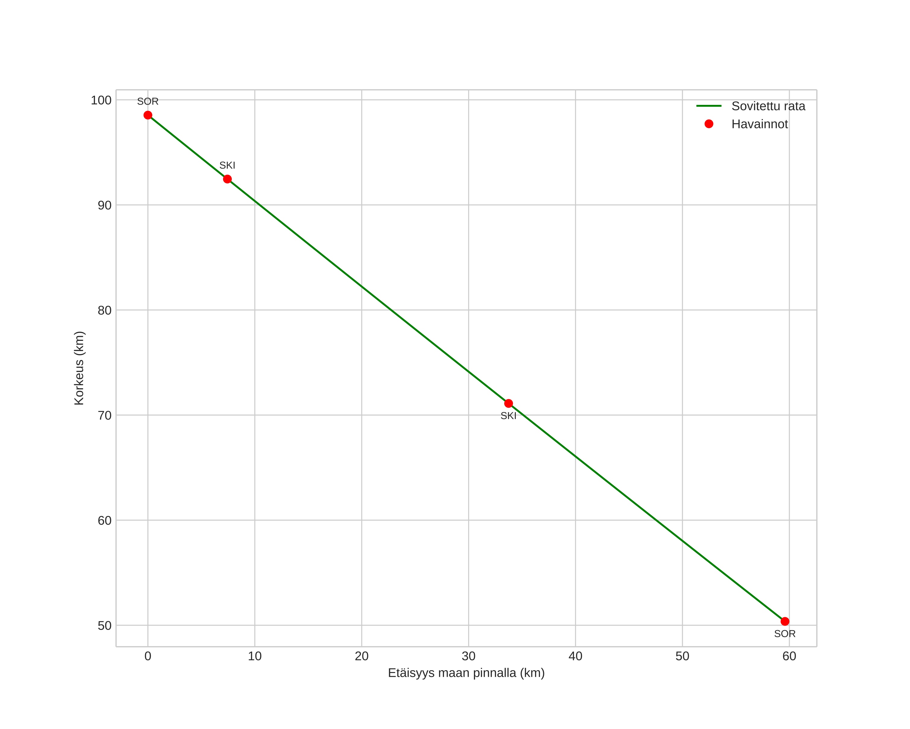
height profile
Meteorin ilmakehärata:
Alkukorkeus: 95,3 km
Loppukorkeus: 48,9 km
Alkupiste: 68,958N 14,482E
Loppupiste: 68,530N 15,229E
Suunta: 147,3°
Kallistuskulma: 39,5°
Tulonopeus: 39,7 km/s
Radiantin R,A,: 14:41 (220,3°)
Radiantin Dekl,: 54,7°
Meteoriparvi: Kvadrantidit
Meteoroidin rataelementit:
Perihelietäisyys: 0,965 AU
Eksentrisyys: 0,545
Inklinaatio: 67,8°
Nousevan solmun pituus: 287,0°
Perihelin argumentti: 198,6°
Keskianomalia: 355,4°
Epookki: 2022 JAN 07 15:25:18
orbit plot

Ei-interaktiivinen kuvaaja | Interaktiivinen kuvaaja

position vs time
speed and acceleration