🇳🇴 🇬🇧 🇩🇪 🇨🇿 🇫🇮

Meteor, poloha: Finnsnes 2022-01-07 23:04:50 UTC

Soubor KML  |  InteraktivnĂ­ mapa

Mapa zobrazuje dráhy meteoru. Světlejší čáry ukazují směry od pozorovacích stanic při objevení se meteoru a tmavší čáry, kde byl naposledy viděn. Modrá šipka značí viditelnou dráhu meteoru.

static map
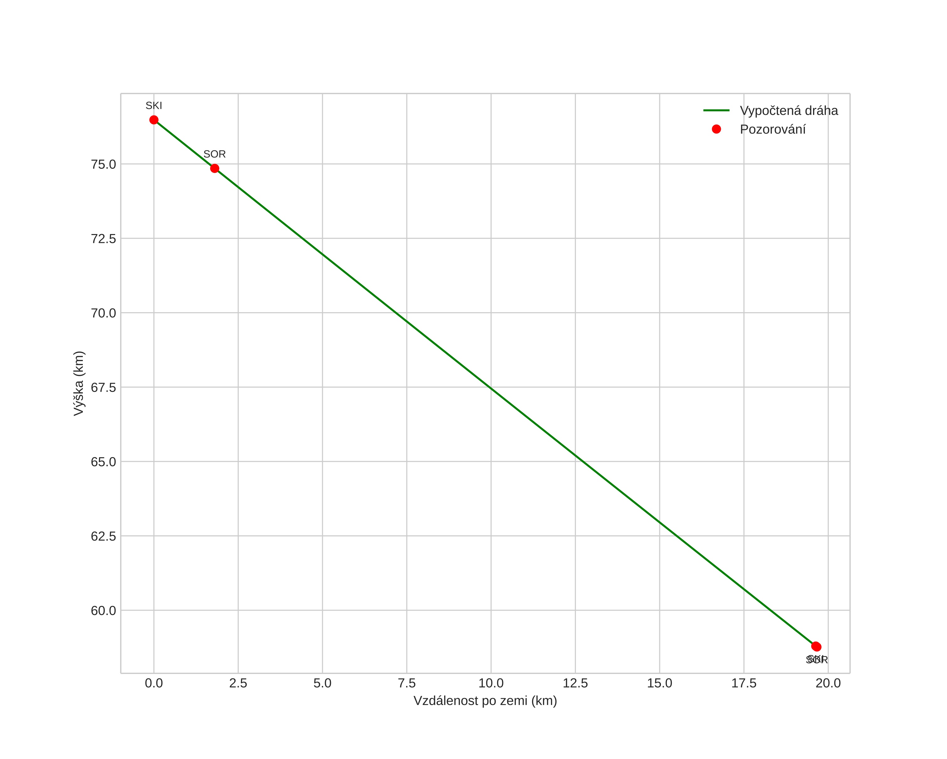
height profile
Atmosférická dráha meteoru:
Počáteční výška: 76,5 km
Konečná výška: 58,8 km
Počáteční poloha: 69,465N 17,555E
Konečná poloha: 69,613N 17,831E
Směr: 32,9°
Sklon: 41,9°
VstupnĂ­ rychlost: 16,4 km/s
Rektascenze radiantu: 05:29 (82,4°)
Deklinace radiantu: 16,3°
MeteorickĂ˝ roj: sporadickĂ˝
Elementy dráhy meteoroidu:
Vzdálenost v periheliu: 0,864 AU
Excentricita: 0,579
Sklon dráhy: 2,4°
Délka vzestupného uzlu: 107,4°
Argument perihelia: 48,0°
Střední anomálie: 348,6°
Epocha: 2022 JAN 07 23:04:50
orbit plot

NeinteraktivnĂ­ graf | InteraktivnĂ­ graf

position vs time
speed and acceleration