🇳🇴 🇬🇧 🇩🇪 🇨🇿 🇫🇮

Meteor Finnsnesin yllä 2022-01-07 23:04:50 UTC

KML-tiedosto  |  Interaktiivinen kartta

Kartta näyttää meteorin suuntahavainnot. Vaaleammat viivat näyttävät suunnat havaintoasemilta meteorin ilmestyessä, ja tummemmat viivat näyttävät, missä se viimeksi nähtiin. Sininen nuoli näyttää meteorin näkyvän lennon.

static map
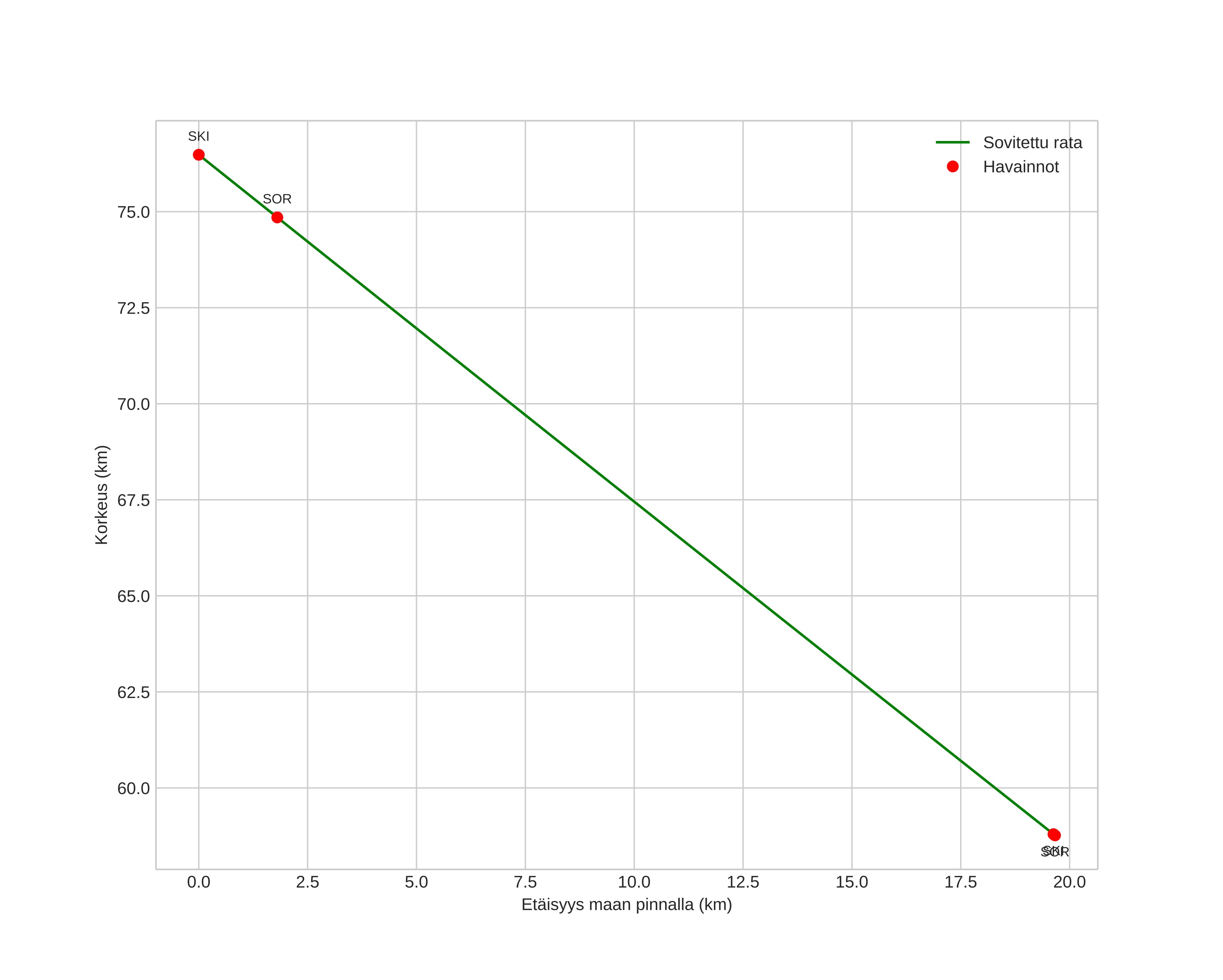
height profile
Meteorin ilmakehärata:
Alkukorkeus: 76,5 km
Loppukorkeus: 58,8 km
Alkupiste: 69,465N 17,555E
Loppupiste: 69,613N 17,831E
Suunta: 32,9°
Kallistuskulma: 41,9°
Tulonopeus: 16,4 km/s
Radiantin R,A,: 05:29 (82,4°)
Radiantin Dekl,: 16,3°
Meteoriparvi: Sporadinen
Meteoroidin rataelementit:
Perihelietäisyys: 0,864 AU
Eksentrisyys: 0,579
Inklinaatio: 2,4°
Nousevan solmun pituus: 107,4°
Perihelin argumentti: 48,0°
Keskianomalia: 348,6°
Epookki: 2022 JAN 07 23:04:50
orbit plot

Ei-interaktiivinen kuvaaja | Interaktiivinen kuvaaja

position vs time
speed and acceleration