🇳🇴 🇬🇧 🇩🇪 🇨🇿 🇫🇮

Meteor, poloha: Hatteng 2022-01-10 00:22:36 UTC

Soubor KML  |  InteraktivnĂ­ mapa

Mapa zobrazuje dráhy meteoru. Světlejší čáry ukazují směry od pozorovacích stanic při objevení se meteoru a tmavší čáry, kde byl naposledy viděn. Modrá šipka značí viditelnou dráhu meteoru.

static map
height profile
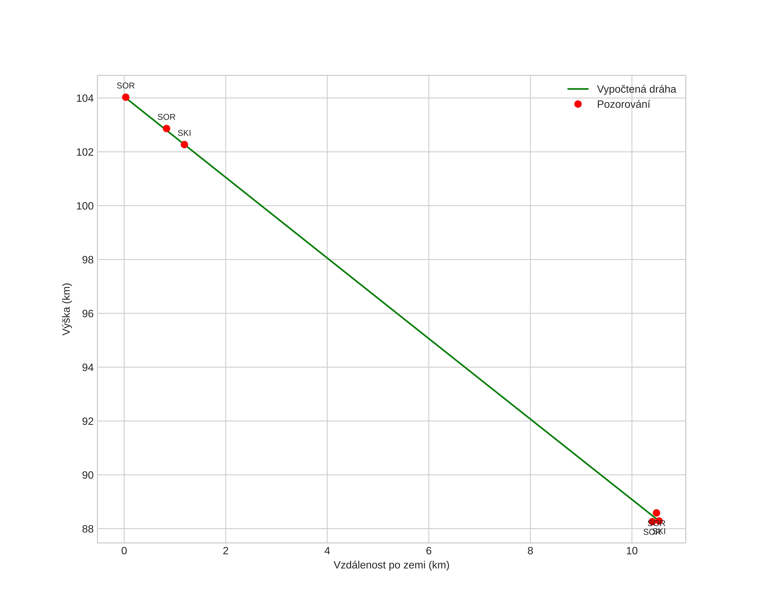
Atmosférická dráha meteoru:
Počáteční výška: 103,0 km
Konečná výška: 87,4 km
Počáteční poloha: 68,824N 20,053E
Konečná poloha: 68,776N 19,834E
Směr: 239,0°
Sklon: 56,5°
VstupnĂ­ rychlost: 43,5 km/s
Rektascenze radiantu: 14:45 (221,3°)
Deklinace radiantu: 61,5°
MeteorickĂ˝ roj: sporadickĂ˝
Elementy dráhy meteoroidu:
Vzdálenost v periheliu: 0,956 AU
Excentricita: 1,068
Sklon dráhy: 66,6°
Délka vzestupného uzlu: 289,4°
Argument perihelia: 199,0°
Střední anomálie: -0,2°
Epocha: 2022 JAN 10 00:22:36
orbit plot

NeinteraktivnĂ­ graf | InteraktivnĂ­ graf

position vs time
speed and acceleration