🇳🇴 🇬🇧 🇩🇪 🇨🇿 🇫🇮

Meteor Hattengin yllä 2022-01-10 00:22:36 UTC

KML-tiedosto  |  Interaktiivinen kartta

Kartta näyttää meteorin suuntahavainnot. Vaaleammat viivat näyttävät suunnat havaintoasemilta meteorin ilmestyessä, ja tummemmat viivat näyttävät, missä se viimeksi nähtiin. Sininen nuoli näyttää meteorin näkyvän lennon.

static map
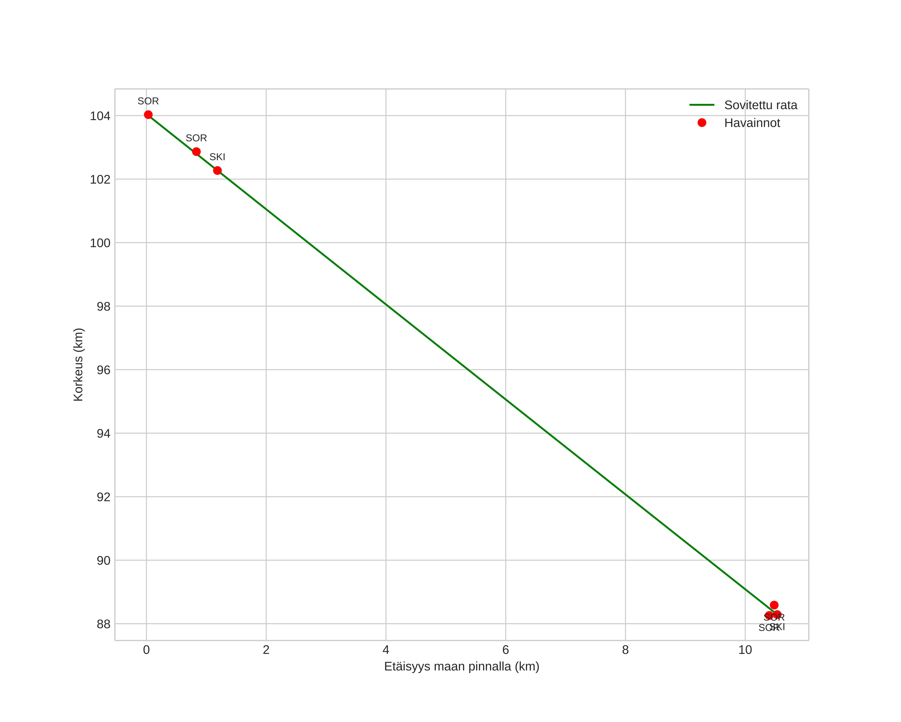
height profile
Meteorin ilmakehärata:
Alkukorkeus: 103,0 km
Loppukorkeus: 87,4 km
Alkupiste: 68,824N 20,053E
Loppupiste: 68,776N 19,834E
Suunta: 239,0°
Kallistuskulma: 56,5°
Tulonopeus: 43,5 km/s
Radiantin R,A,: 14:45 (221,3°)
Radiantin Dekl,: 61,5°
Meteoriparvi: Sporadinen
Meteoroidin rataelementit:
Perihelietäisyys: 0,956 AU
Eksentrisyys: 1,068
Inklinaatio: 66,6°
Nousevan solmun pituus: 289,4°
Perihelin argumentti: 199,0°
Keskianomalia: -0,2°
Epookki: 2022 JAN 10 00:22:36
orbit plot

Ei-interaktiivinen kuvaaja | Interaktiivinen kuvaaja

position vs time
speed and acceleration