🇳🇴 🇬🇧 🇩🇪 🇨🇿 🇫🇮

Meteor, poloha: Storsteinnes 2022-01-10 03:51:01 UTC

Soubor KML  |  InteraktivnĂ­ mapa

Mapa zobrazuje dráhy meteoru. Světlejší čáry ukazují směry od pozorovacích stanic při objevení se meteoru a tmavší čáry, kde byl naposledy viděn. Modrá šipka značí viditelnou dráhu meteoru.

static map
height profile
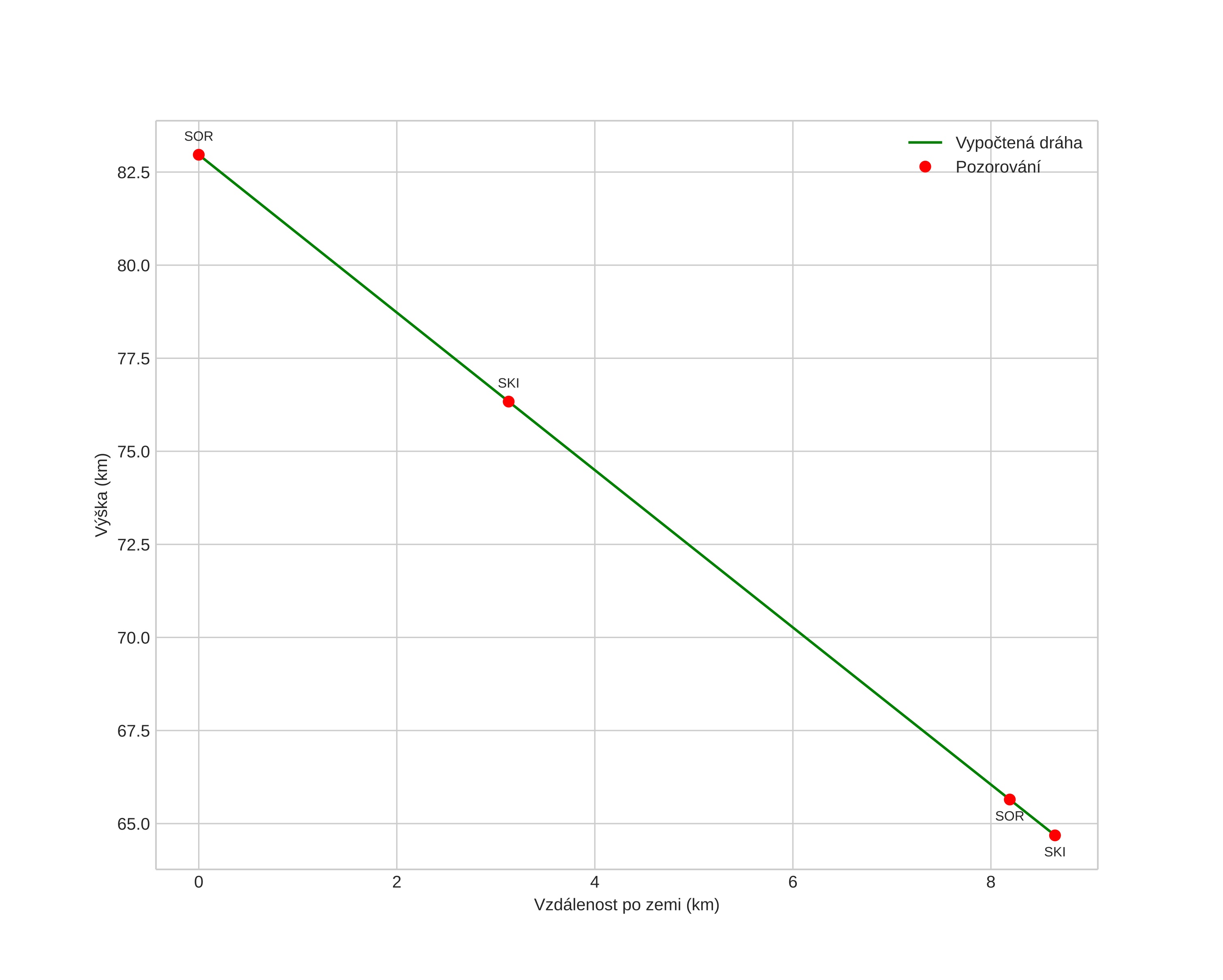
Atmosférická dráha meteoru:
Počáteční výška: 82,4 km
Konečná výška: 65,6 km
Počáteční poloha: 69,173N 19,085E
Konečná poloha: 69,114N 18,967E
Směr: 215,4°
Sklon: 64,3°
VstupnĂ­ rychlost: 25,4 km/s
Rektascenze radiantu: 18:52 (283,0°)
Deklinace radiantu: 74,9°
MeteorickĂ˝ roj: sporadickĂ˝
Elementy dráhy meteoroidu:
Vzdálenost v periheliu: 0,978 AU
Excentricita: 0,755
Sklon dráhy: 34,5°
Délka vzestupného uzlu: 289,6°
Argument perihelia: 189,3°
Střední anomálie: 359,2°
Epocha: 2022 JAN 10 03:51:01
orbit plot

NeinteraktivnĂ­ graf | InteraktivnĂ­ graf

position vs time
speed and acceleration