🇳🇴 🇬🇧 🇩🇪 🇨🇿 🇫🇮

Meteor Storsteinnesin yllä 2022-01-10 03:51:01 UTC

KML-tiedosto  |  Interaktiivinen kartta

Kartta näyttää meteorin suuntahavainnot. Vaaleammat viivat näyttävät suunnat havaintoasemilta meteorin ilmestyessä, ja tummemmat viivat näyttävät, missä se viimeksi nähtiin. Sininen nuoli näyttää meteorin näkyvän lennon.

static map
height profile
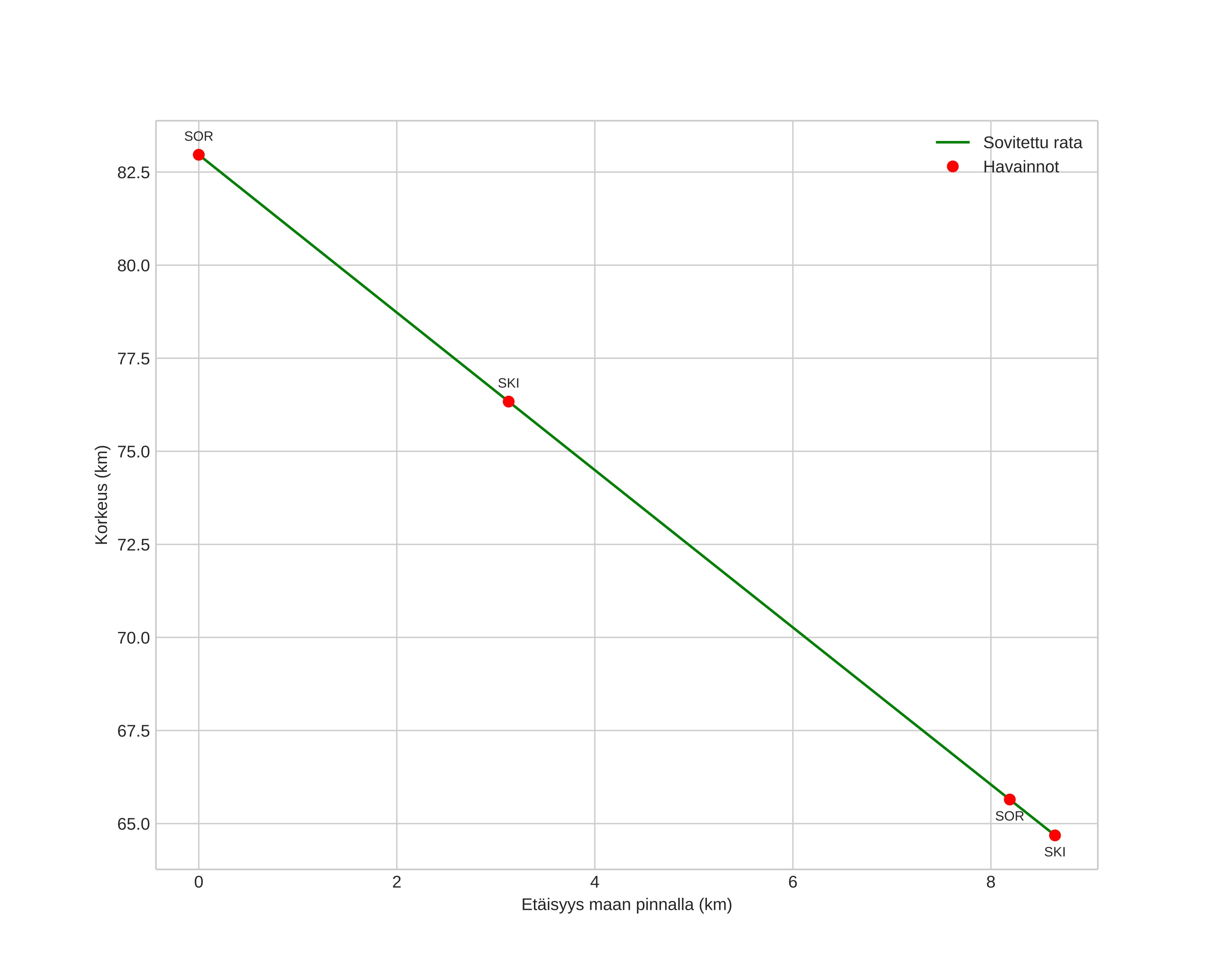
Meteorin ilmakehärata:
Alkukorkeus: 82,4 km
Loppukorkeus: 65,6 km
Alkupiste: 69,173N 19,085E
Loppupiste: 69,114N 18,967E
Suunta: 215,4°
Kallistuskulma: 64,3°
Tulonopeus: 25,4 km/s
Radiantin R,A,: 18:52 (283,0°)
Radiantin Dekl,: 74,9°
Meteoriparvi: Sporadinen
Meteoroidin rataelementit:
Perihelietäisyys: 0,978 AU
Eksentrisyys: 0,755
Inklinaatio: 34,5°
Nousevan solmun pituus: 289,6°
Perihelin argumentti: 189,3°
Keskianomalia: 359,2°
Epookki: 2022 JAN 10 03:51:01
orbit plot

Ei-interaktiivinen kuvaaja | Interaktiivinen kuvaaja

position vs time
speed and acceleration