🇳🇴 🇬🇧 🇩🇪 🇨🇿 🇫🇮

Meteor, poloha: Kiruna 2022-01-10 23:05:36 UTC

Soubor KML  |  InteraktivnĂ­ mapa

Mapa zobrazuje dráhy meteoru. Světlejší čáry ukazují směry od pozorovacích stanic při objevení se meteoru a tmavší čáry, kde byl naposledy viděn. Modrá šipka značí viditelnou dráhu meteoru.

static map
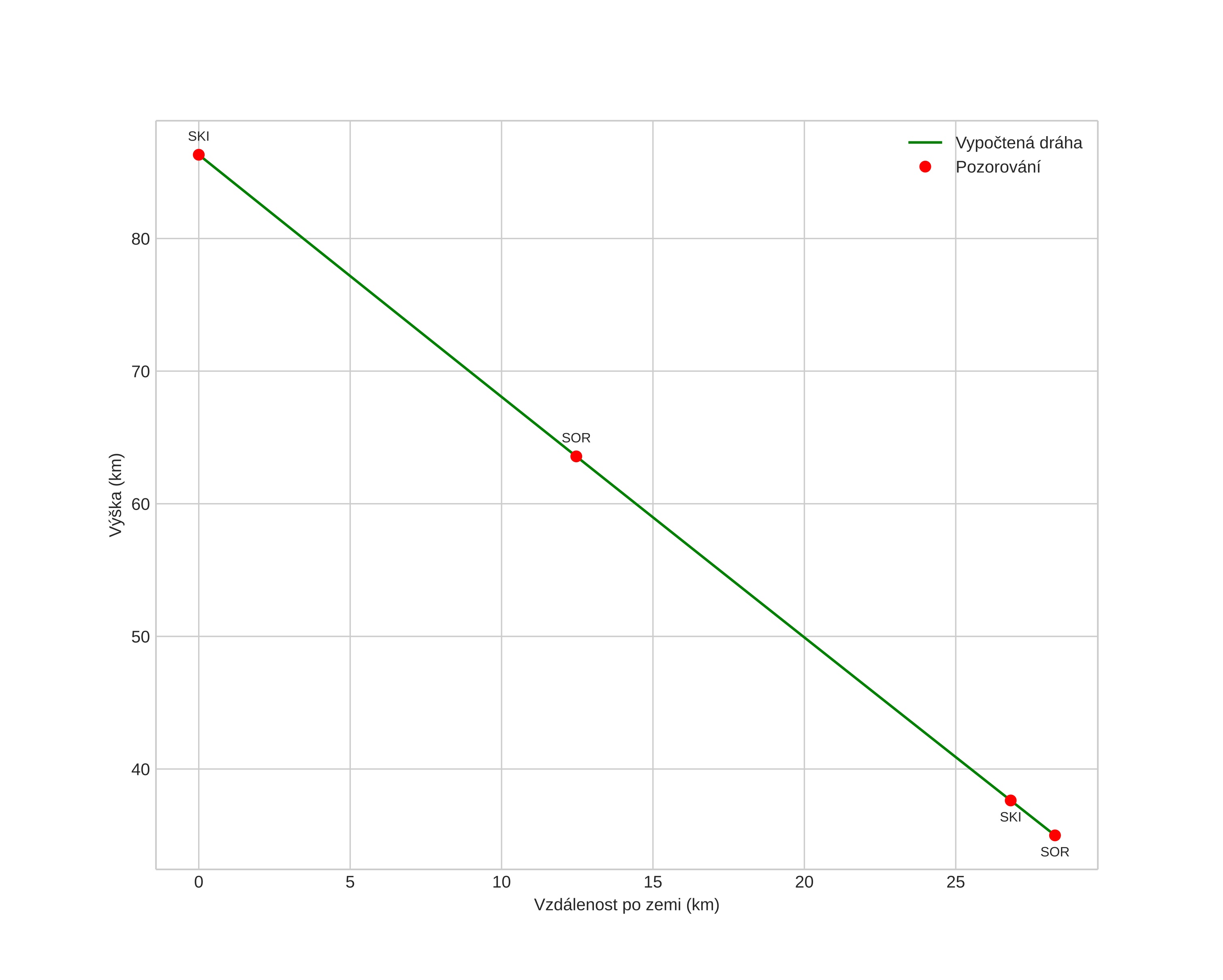
height profile
Atmosférická dráha meteoru:
Počáteční výška: 86,1 km
Konečná výška: 36,0 km
Počáteční poloha: 67,947N 19,820E
Konečná poloha: 68,199N 19,764E
Směr: 355,3°
Sklon: 60,7°
VstupnĂ­ rychlost: 24,9 km/s
Rektascenze radiantu: 07:54 (118,7°)
Deklinace radiantu: 37,0°
MeteorickĂ˝ roj: sporadickĂ˝
Elementy dráhy meteoroidu:
Vzdálenost v periheliu: 0,567 AU
Excentricita: 0,703
Sklon dráhy: 11,8°
Délka vzestupného uzlu: 290,4°
Argument perihelia: 271,6°
Střední anomálie: 342,7°
Epocha: 2022 JAN 10 23:05:36
orbit plot

NeinteraktivnĂ­ graf | InteraktivnĂ­ graf

position vs time
speed and acceleration