🇳🇴 🇬🇧 🇩🇪 🇨🇿 🇫🇮

Meteor Kirunan yllä 2022-01-10 23:05:36 UTC

KML-tiedosto  |  Interaktiivinen kartta

Kartta näyttää meteorin suuntahavainnot. Vaaleammat viivat näyttävät suunnat havaintoasemilta meteorin ilmestyessä, ja tummemmat viivat näyttävät, missä se viimeksi nähtiin. Sininen nuoli näyttää meteorin näkyvän lennon.

static map
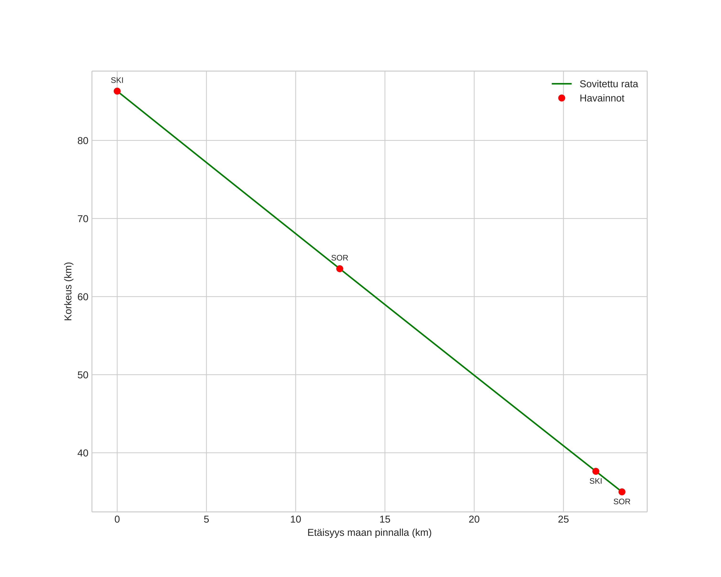
height profile
Meteorin ilmakehärata:
Alkukorkeus: 86,1 km
Loppukorkeus: 36,0 km
Alkupiste: 67,947N 19,820E
Loppupiste: 68,199N 19,764E
Suunta: 355,3°
Kallistuskulma: 60,7°
Tulonopeus: 24,9 km/s
Radiantin R,A,: 07:54 (118,7°)
Radiantin Dekl,: 37,0°
Meteoriparvi: Sporadinen
Meteoroidin rataelementit:
Perihelietäisyys: 0,567 AU
Eksentrisyys: 0,703
Inklinaatio: 11,8°
Nousevan solmun pituus: 290,4°
Perihelin argumentti: 271,6°
Keskianomalia: 342,7°
Epookki: 2022 JAN 10 23:05:36
orbit plot

Ei-interaktiivinen kuvaaja | Interaktiivinen kuvaaja

position vs time
speed and acceleration