🇳🇴 🇬🇧 🇩🇪 🇨🇿 🇫🇮

Meteor, poloha: Treungen 2022-01-14 17:45:37 UTC

Soubor KML  |  InteraktivnĂ­ mapa

Mapa zobrazuje dráhy meteoru. Světlejší čáry ukazují směry od pozorovacích stanic při objevení se meteoru a tmavší čáry, kde byl naposledy viděn. Modrá šipka značí viditelnou dráhu meteoru.

static map
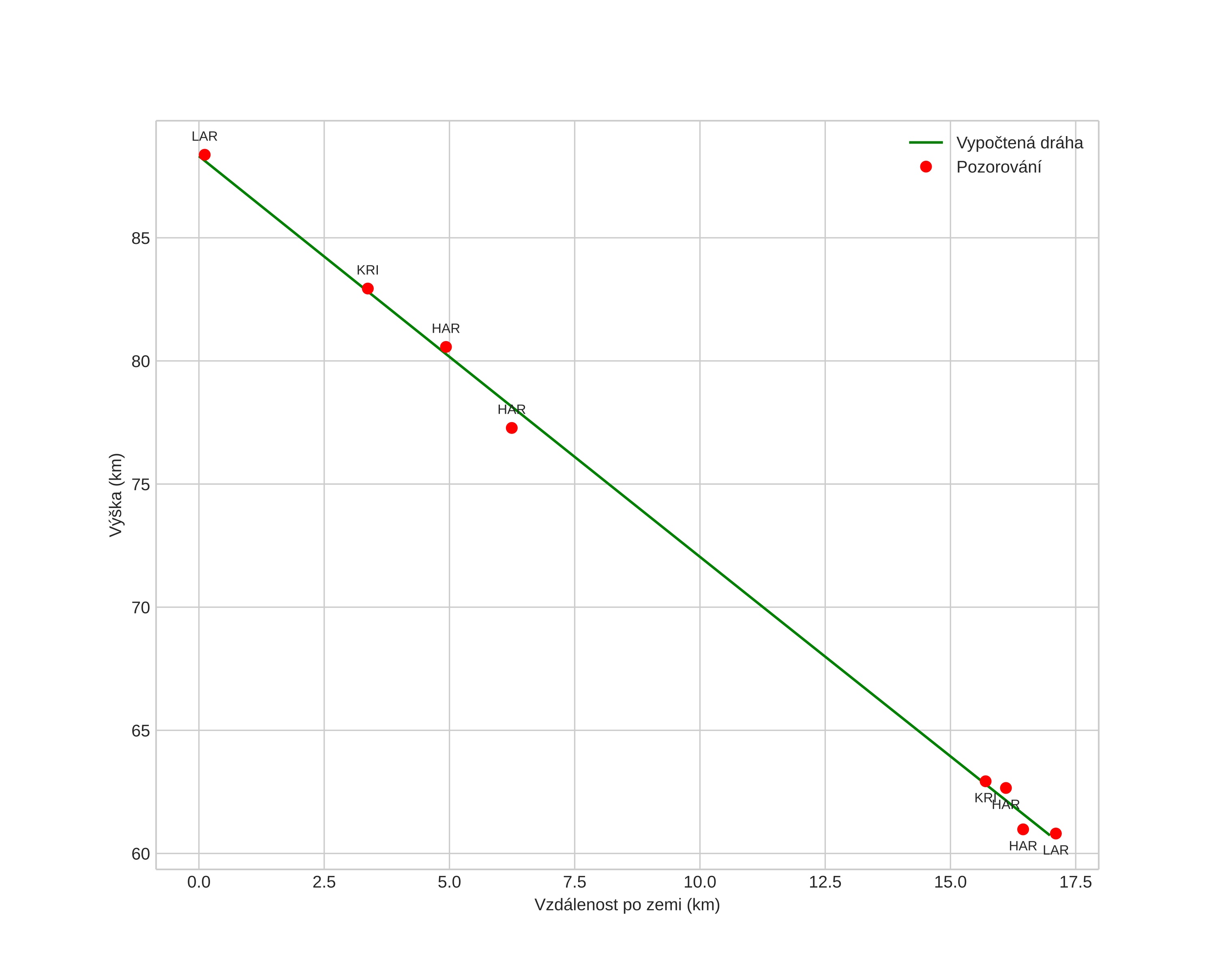
height profile
Atmosférická dráha meteoru:
Počáteční výška: 88,3 km
Konečná výška: 60,7 km
Počáteční poloha: 59,027N 8,550E
Konečná poloha: 59,175N 8,472E
Směr: 344,8°
Sklon: 58,4°
VstupnĂ­ rychlost: 15,9 km/s
Rektascenze radiantu: 02:30 (37,5°)
Deklinace radiantu: 22,6°
MeteorickĂ˝ roj: sporadickĂ˝
Elementy dráhy meteoroidu:
Vzdálenost v periheliu: 0,976 AU
Excentricita: 0,877
Sklon dráhy: 2,0°
Délka vzestupného uzlu: 294,2°
Argument perihelia: 190,3°
Střední anomálie: 359,7°
Epocha: 2022 JAN 14 17:45:37
orbit plot

NeinteraktivnĂ­ graf | InteraktivnĂ­ graf

position vs time
speed and acceleration