🇳🇴 🇬🇧 🇩🇪 🇨🇿 🇫🇮

Meteor, poloha: Kode 2022-01-14 19:29:40 UTC

Soubor KML  |  InteraktivnĂ­ mapa

Mapa zobrazuje dráhy meteoru. Světlejší čáry ukazují směry od pozorovacích stanic při objevení se meteoru a tmavší čáry, kde byl naposledy viděn. Modrá šipka značí viditelnou dráhu meteoru.

static map
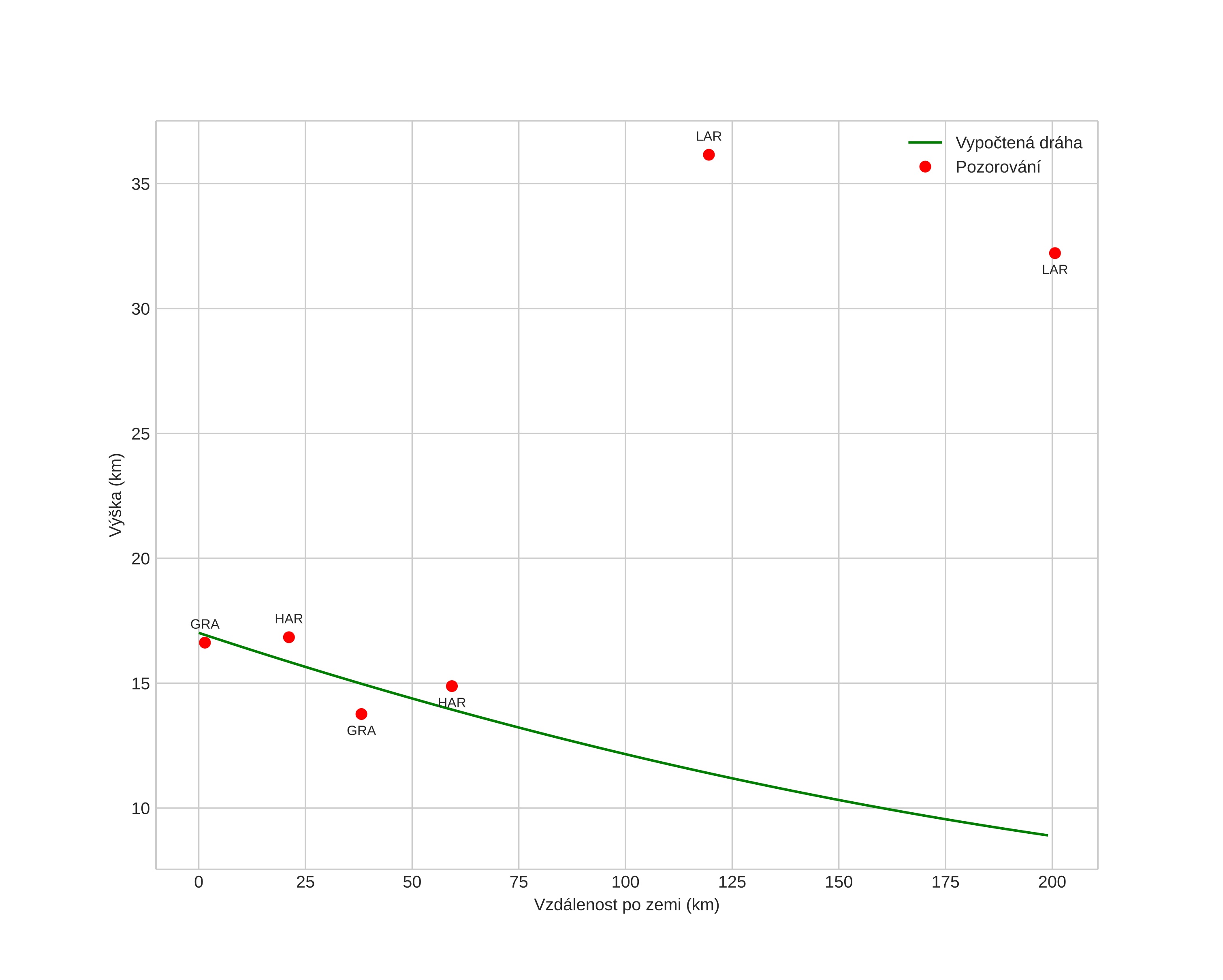
height profile
Atmosférická dráha meteoru:
Počáteční výška: 11,2 km
Konečná výška: 20,7 km
Počáteční poloha: 60,034N 10,731E
Konečná poloha: 57,933N 11,789E
Směr: 165,0°
Sklon: -2,3°
VstupnĂ­ rychlost: 17,6 km/s
Rektascenze radiantu: 16:49 (252,4°)
Deklinace radiantu: 11,6°
MeteorickĂ˝ roj: sporadickĂ˝
Elementy dráhy meteoroidu:
Vzdálenost v periheliu: 0,417 AU
Excentricita: 0,442
Sklon dráhy: 18,8°
Délka vzestupného uzlu: 294,3°
Argument perihelia: 28,4°
Střední anomálie: 118,1°
Epocha: 2022 JAN 14 19:29:40
orbit plot

NeinteraktivnĂ­ graf | InteraktivnĂ­ graf

position vs time
speed and acceleration