🇳🇴 🇬🇧 🇩🇪 🇨🇿 🇫🇮

Meteor Koden yllä 2022-01-14 19:29:40 UTC

KML-tiedosto  |  Interaktiivinen kartta

Kartta näyttää meteorin suuntahavainnot. Vaaleammat viivat näyttävät suunnat havaintoasemilta meteorin ilmestyessä, ja tummemmat viivat näyttävät, missä se viimeksi nähtiin. Sininen nuoli näyttää meteorin näkyvän lennon.

static map
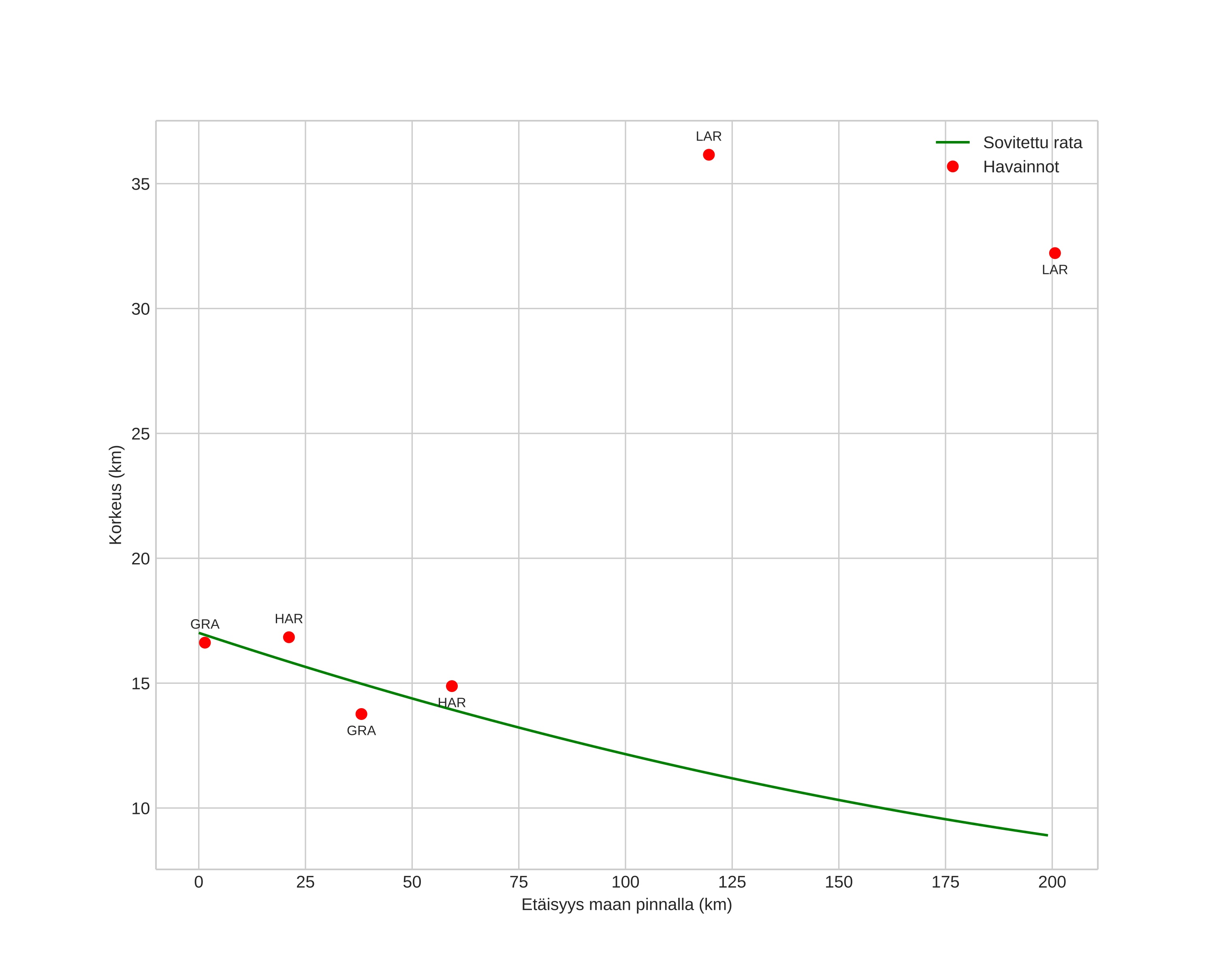
height profile
Meteorin ilmakehärata:
Alkukorkeus: 11,2 km
Loppukorkeus: 20,7 km
Alkupiste: 60,034N 10,731E
Loppupiste: 57,933N 11,789E
Suunta: 165,0°
Kallistuskulma: -2,3°
Tulonopeus: 17,6 km/s
Radiantin R,A,: 16:49 (252,4°)
Radiantin Dekl,: 11,6°
Meteoriparvi: Sporadinen
Meteoroidin rataelementit:
Perihelietäisyys: 0,417 AU
Eksentrisyys: 0,442
Inklinaatio: 18,8°
Nousevan solmun pituus: 294,3°
Perihelin argumentti: 28,4°
Keskianomalia: 118,1°
Epookki: 2022 JAN 14 19:29:40
orbit plot

Ei-interaktiivinen kuvaaja | Interaktiivinen kuvaaja

position vs time
speed and acceleration