🇳🇴 🇬🇧 🇩🇪 🇨🇿 🇫🇮

Meteor, poloha: RyomgĂĄrd 2022-01-19 21:34:22 UTC

Soubor KML  |  InteraktivnĂ­ mapa

Mapa zobrazuje dráhy meteoru. Světlejší čáry ukazují směry od pozorovacích stanic při objevení se meteoru a tmavší čáry, kde byl naposledy viděn. Modrá šipka značí viditelnou dráhu meteoru.

static map
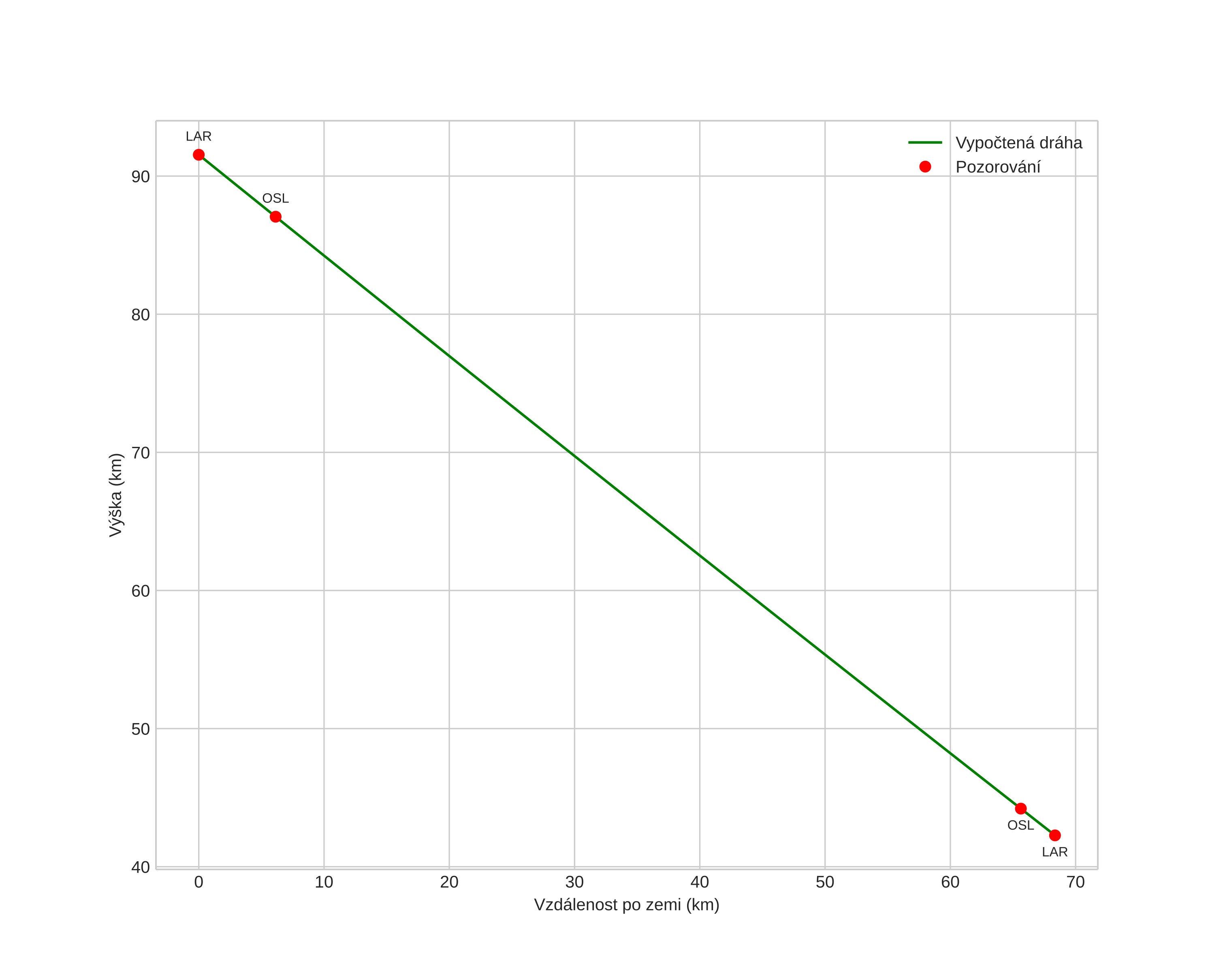
height profile
Atmosférická dráha meteoru:
Počáteční výška: 93,9 km
Konečná výška: 42,4 km
Počáteční poloha: 56,570N 11,827E
Konečná poloha: 56,485N 10,637E
Směr: 263,1°
Sklon: 35,0°
VstupnĂ­ rychlost: 42,8 km/s
Rektascenze radiantu: 11:15 (168,9°)
Deklinace radiantu: 31,6°
MeteorickĂ˝ roj: sporadickĂ˝
Elementy dráhy meteoroidu:
Vzdálenost v periheliu: 0,205 AU
Excentricita: 0,868
Sklon dráhy: 66,0°
Délka vzestupného uzlu: 299,5°
Argument perihelia: 314,7°
Střední anomálie: 340,0°
Epocha: 2022 JAN 19 21:34:22
orbit plot

NeinteraktivnĂ­ graf | InteraktivnĂ­ graf

position vs time
speed and acceleration