🇳🇴 🇬🇧 🇩🇪 🇨🇿 🇫🇮

Meteor Ryomgårdin yllä 2022-01-19 21:34:22 UTC

KML-tiedosto  |  Interaktiivinen kartta

Kartta näyttää meteorin suuntahavainnot. Vaaleammat viivat näyttävät suunnat havaintoasemilta meteorin ilmestyessä, ja tummemmat viivat näyttävät, missä se viimeksi nähtiin. Sininen nuoli näyttää meteorin näkyvän lennon.

static map
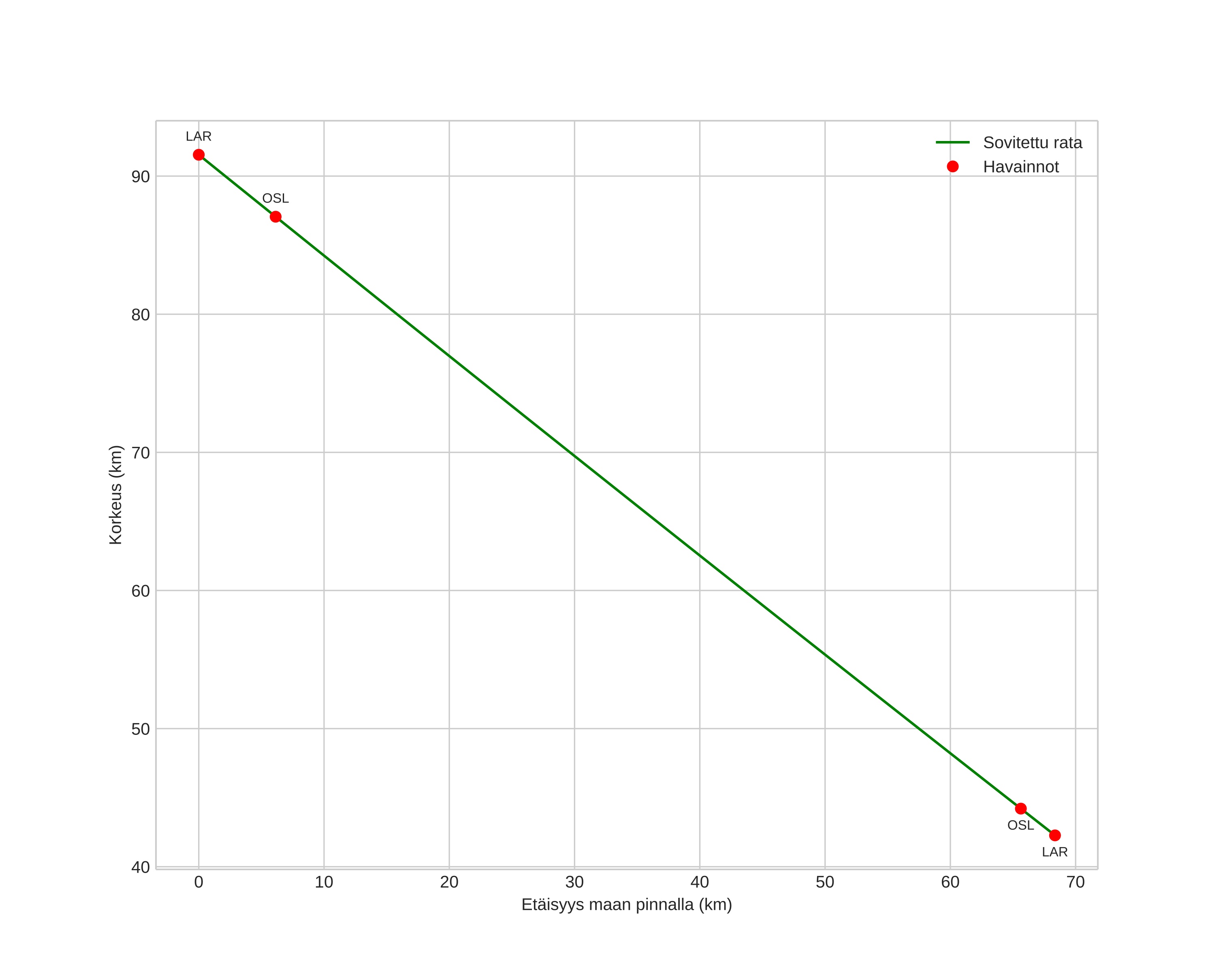
height profile
Meteorin ilmakehärata:
Alkukorkeus: 93,9 km
Loppukorkeus: 42,4 km
Alkupiste: 56,570N 11,827E
Loppupiste: 56,485N 10,637E
Suunta: 263,1°
Kallistuskulma: 35,0°
Tulonopeus: 42,8 km/s
Radiantin R,A,: 11:15 (168,9°)
Radiantin Dekl,: 31,6°
Meteoriparvi: Sporadinen
Meteoroidin rataelementit:
Perihelietäisyys: 0,205 AU
Eksentrisyys: 0,868
Inklinaatio: 66,0°
Nousevan solmun pituus: 299,5°
Perihelin argumentti: 314,7°
Keskianomalia: 340,0°
Epookki: 2022 JAN 19 21:34:22
orbit plot

Ei-interaktiivinen kuvaaja | Interaktiivinen kuvaaja

position vs time
speed and acceleration