🇳🇴 🇬🇧 🇩🇪 🇨🇿 🇫🇮

Meteor, poloha: Hovden 2022-01-23 16:41:41 UTC

Soubor KML  |  InteraktivnĂ­ mapa

Mapa zobrazuje dráhy meteoru. Světlejší čáry ukazují směry od pozorovacích stanic při objevení se meteoru a tmavší čáry, kde byl naposledy viděn. Modrá šipka značí viditelnou dráhu meteoru.

static map
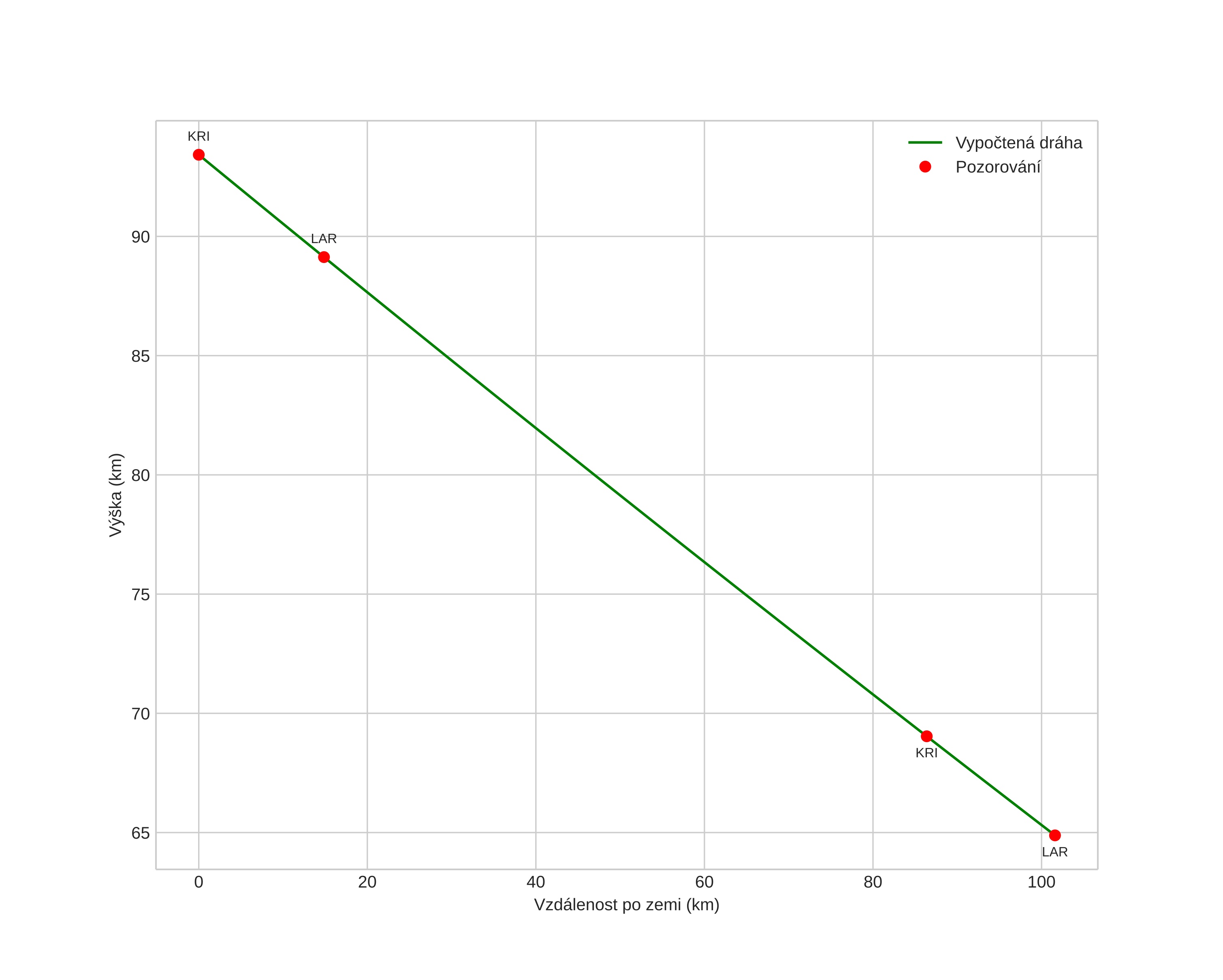
height profile
Atmosférická dráha meteoru:
Počáteční výška: 90,5 km
Konečná výška: 65,1 km
Počáteční poloha: 58,825N 6,181E
Konečná poloha: 59,468N 7,146E
Směr: 37,2°
Sklon: 15,7°
VstupnĂ­ rychlost: 17,3 km/s
Rektascenze radiantu: 22:34 (338,7°)
Deklinace radiantu: -20,1°
MeteorickĂ˝ roj: sporadickĂ˝
Elementy dráhy meteoroidu:
Vzdálenost v periheliu: 0,873 AU
Excentricita: 0,697
Sklon dráhy: 3,8°
Délka vzestupného uzlu: 123,4°
Argument perihelia: 316,5°
Střední anomálie: 6,0°
Epocha: 2022 JAN 23 16:41:41
orbit plot

NeinteraktivnĂ­ graf | InteraktivnĂ­ graf

position vs time
speed and acceleration