🇳🇴 🇬🇧 🇩🇪 🇨🇿 🇫🇮

Meteor Hovdenin yllä 2022-01-23 16:41:41 UTC

KML-tiedosto  |  Interaktiivinen kartta

Kartta näyttää meteorin suuntahavainnot. Vaaleammat viivat näyttävät suunnat havaintoasemilta meteorin ilmestyessä, ja tummemmat viivat näyttävät, missä se viimeksi nähtiin. Sininen nuoli näyttää meteorin näkyvän lennon.

static map
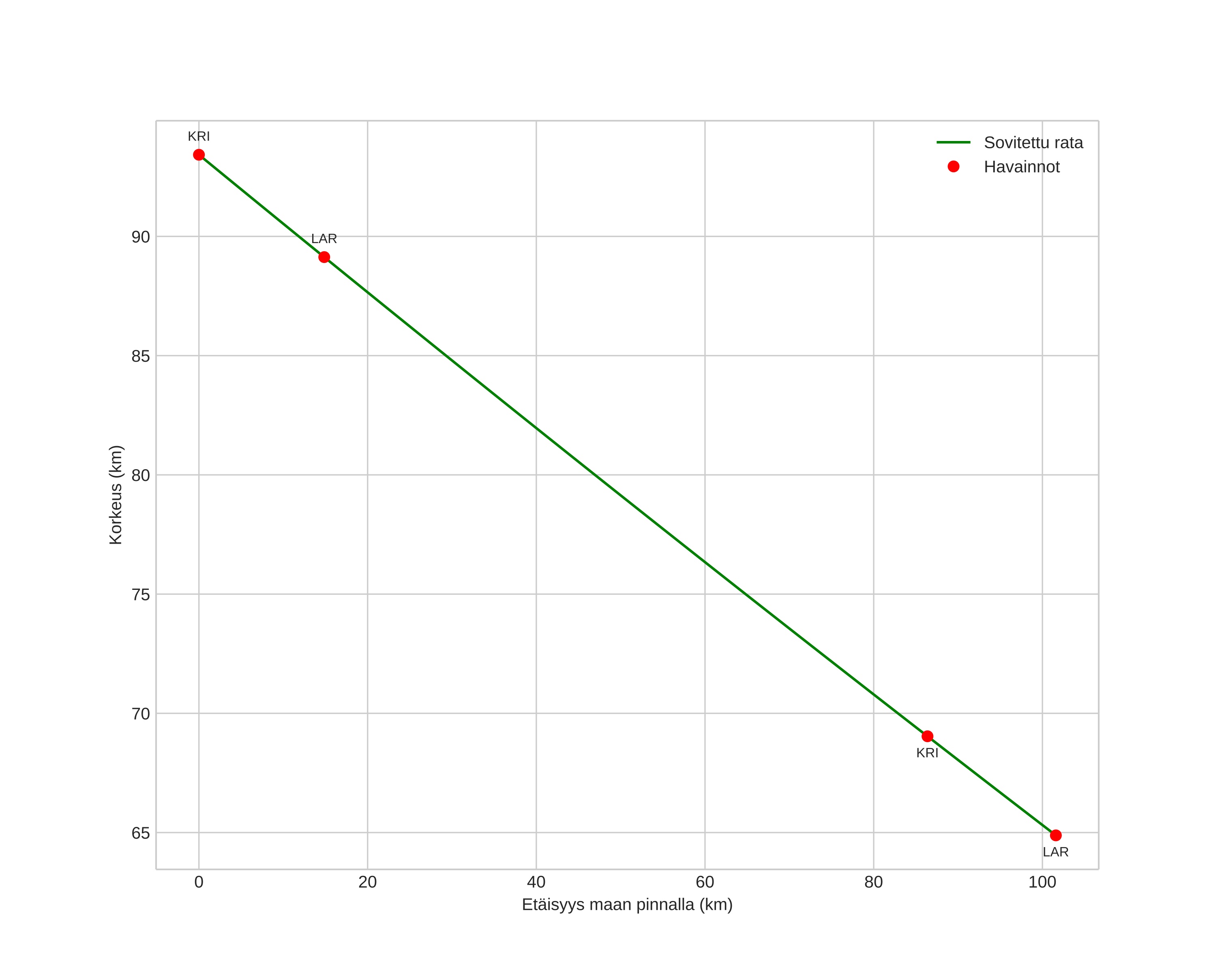
height profile
Meteorin ilmakehärata:
Alkukorkeus: 90,5 km
Loppukorkeus: 65,1 km
Alkupiste: 58,825N 6,181E
Loppupiste: 59,468N 7,146E
Suunta: 37,2°
Kallistuskulma: 15,7°
Tulonopeus: 17,3 km/s
Radiantin R,A,: 22:34 (338,7°)
Radiantin Dekl,: -20,1°
Meteoriparvi: Sporadinen
Meteoroidin rataelementit:
Perihelietäisyys: 0,873 AU
Eksentrisyys: 0,697
Inklinaatio: 3,8°
Nousevan solmun pituus: 123,4°
Perihelin argumentti: 316,5°
Keskianomalia: 6,0°
Epookki: 2022 JAN 23 16:41:41
orbit plot

Ei-interaktiivinen kuvaaja | Interaktiivinen kuvaaja

position vs time
speed and acceleration

Kristiansand (KRI) cam4

fireball
gnomonic
Videot:
• Gnomoninen
• Gnomoninen koordinaateilla
• Alkuperäinen
• Alkuperäinen koordinaateilla
Kuvat:
• Gnomoninen
• Gnomoninen koordinaateilla
• Gnomoninen merkinnöillä
• Alkuperäinen
• Alkuperäinen koordinaateilla
• Alkuperäinen maskilla
Tekstitiedostot:
• Havaintoraportti
• Observaatio
• Koordinaatit
• Virheilmoitukset
• Loki
Kirkkaus