🇳🇴 🇬🇧 🇩🇪 🇨🇿 🇫🇮

Meteor, poloha: Spetalen 2022-01-28 00:19:26 UTC

Soubor KML  |  InteraktivnĂ­ mapa

Mapa zobrazuje dráhy meteoru. Světlejší čáry ukazují směry od pozorovacích stanic při objevení se meteoru a tmavší čáry, kde byl naposledy viděn. Modrá šipka značí viditelnou dráhu meteoru.

static map
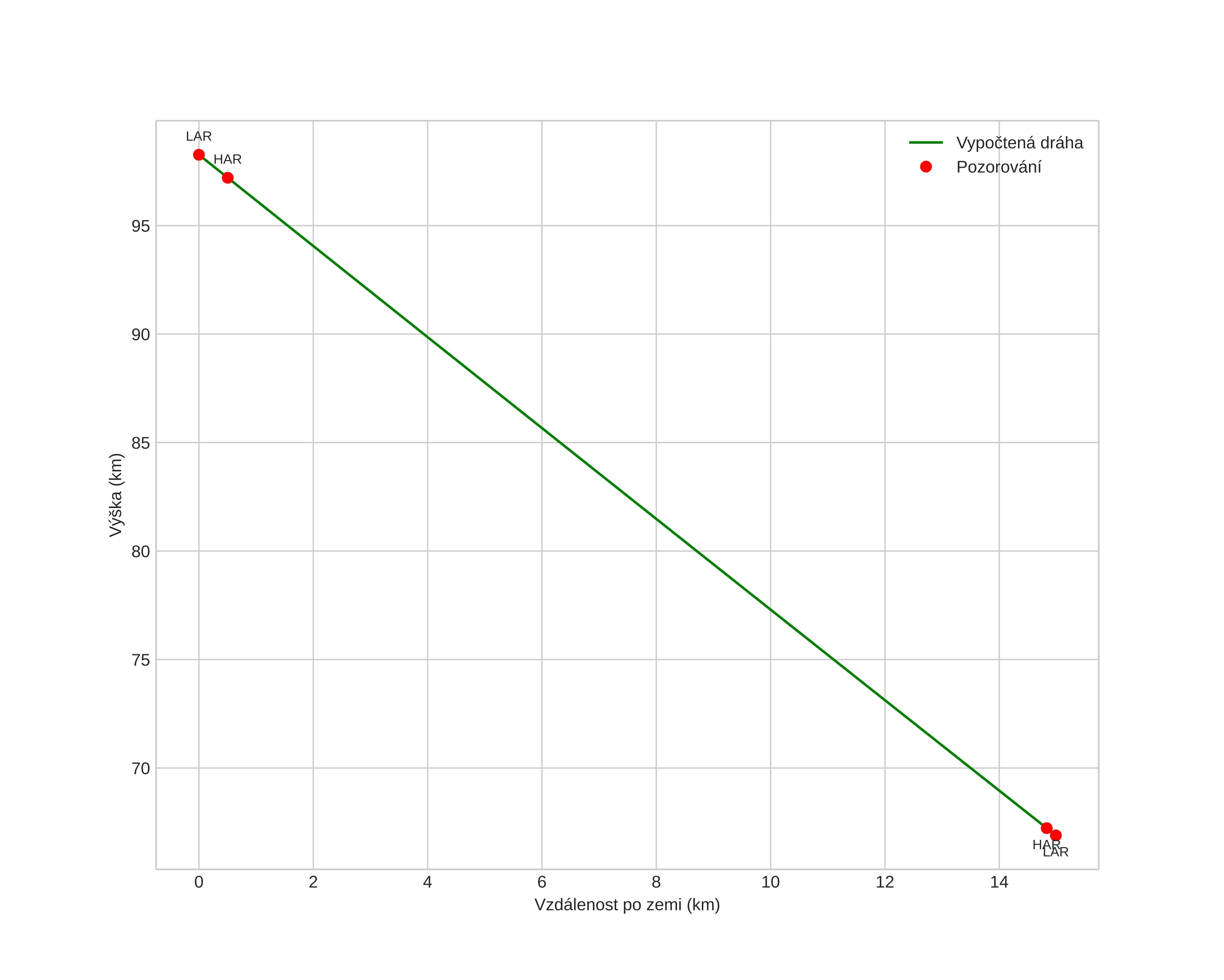
height profile
Atmosférická dráha meteoru:
Počáteční výška: 100,2 km
Konečná výška: 66,8 km
Počáteční poloha: 59,983N 12,035E
Konečná poloha: 60,113N 11,912E
Směr: 335,0°
Sklon: 64,3°
VstupnĂ­ rychlost: 40,6 km/s
Rektascenze radiantu: 10:26 (156,5°)
Deklinace radiantu: 35,3°
MeteorickĂ˝ roj: sporadickĂ˝
Elementy dráhy meteoroidu:
Vzdálenost v periheliu: 0,347 AU
Excentricita: 0,994
Sklon dráhy: 38,3°
Délka vzestupného uzlu: 307,7°
Argument perihelia: 287,4°
Střední anomálie: 359,9°
Epocha: 2022 JAN 28 00:19:26
orbit plot

NeinteraktivnĂ­ graf | InteraktivnĂ­ graf

position vs time
speed and acceleration