🇳🇴 🇬🇧 🇩🇪 🇨🇿 🇫🇮

Meteor Spetalenin yllä 2022-01-28 00:19:26 UTC

KML-tiedosto  |  Interaktiivinen kartta

Kartta näyttää meteorin suuntahavainnot. Vaaleammat viivat näyttävät suunnat havaintoasemilta meteorin ilmestyessä, ja tummemmat viivat näyttävät, missä se viimeksi nähtiin. Sininen nuoli näyttää meteorin näkyvän lennon.

static map
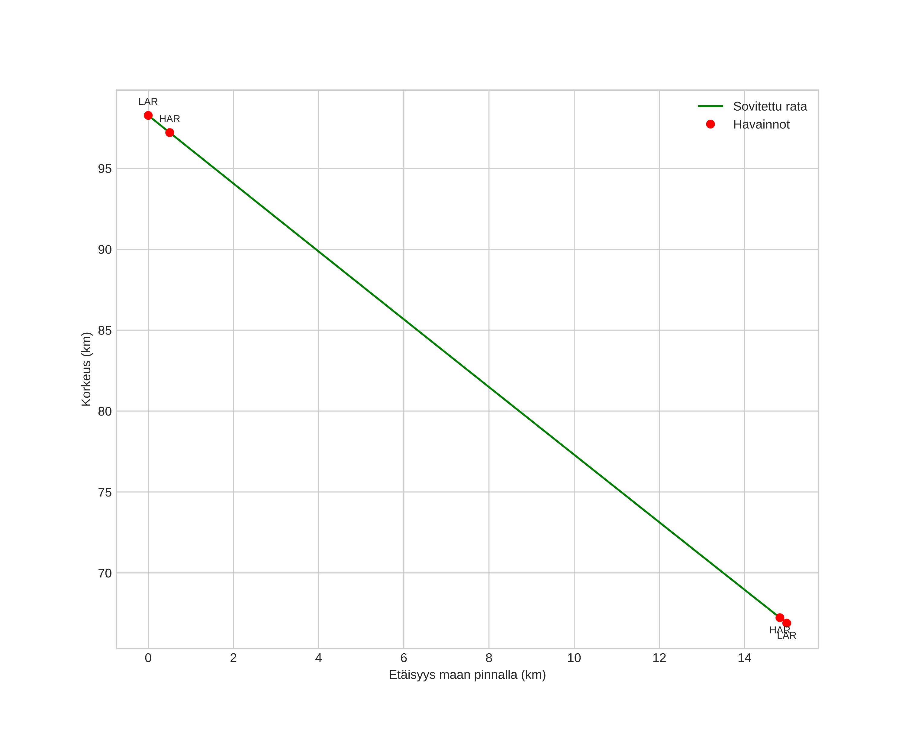
height profile
Meteorin ilmakehärata:
Alkukorkeus: 100,2 km
Loppukorkeus: 66,8 km
Alkupiste: 59,983N 12,035E
Loppupiste: 60,113N 11,912E
Suunta: 335,0°
Kallistuskulma: 64,3°
Tulonopeus: 40,6 km/s
Radiantin R,A,: 10:26 (156,5°)
Radiantin Dekl,: 35,3°
Meteoriparvi: Sporadinen
Meteoroidin rataelementit:
Perihelietäisyys: 0,347 AU
Eksentrisyys: 0,994
Inklinaatio: 38,3°
Nousevan solmun pituus: 307,7°
Perihelin argumentti: 287,4°
Keskianomalia: 359,9°
Epookki: 2022 JAN 28 00:19:26
orbit plot

Ei-interaktiivinen kuvaaja | Interaktiivinen kuvaaja

position vs time
speed and acceleration