🇳🇴 🇬🇧 🇩🇪 🇨🇿 🇫🇮

Meteor, poloha: Bruflat 2022-01-29 18:20:49 UTC

Gran – 2
Gran – 2
Trondheim – 1
Trondheim – 1
Voksenlia – 2
Voksenlia – 2

Soubor KML  | Interaktivní mapa

map

Mapa zobrazuje dráhy meteoru. Světlejší čáry ukazují směry od pozorovacích stanic při objevení se meteoru a tmavší čáry, kde byl naposledy viděn. Modrá šipka značí viditelnou dráhu meteoru.

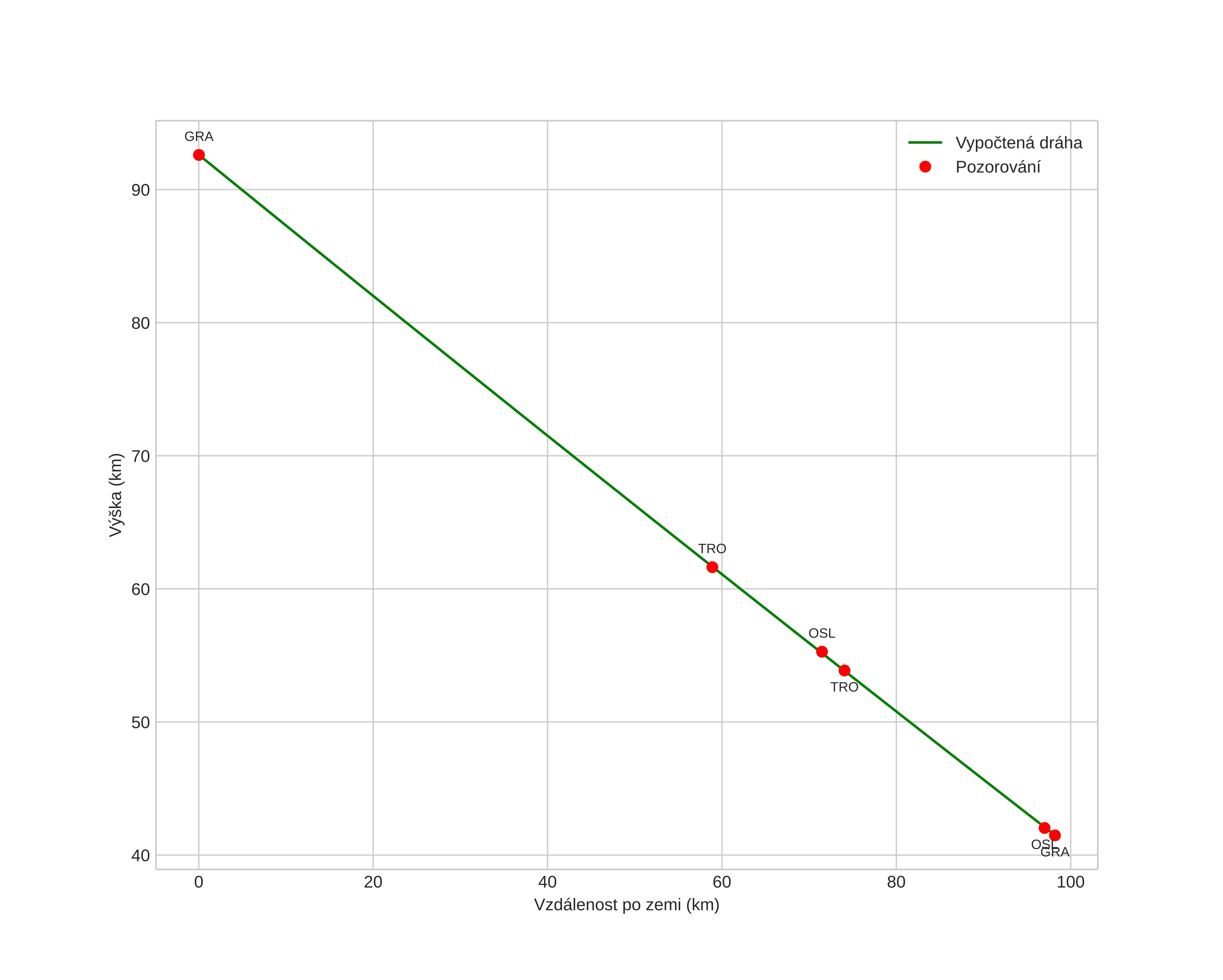
height profile
Atmosférická dráha meteoru:
Počáteční výška: 82,0 km
Konečná výška: 38,2 km
Počáteční poloha: 60,764N 11,342E
Konečná poloha: 60,873N 9,804E
Směr: 278,9°
Sklon: 27,5°
Vstupní rychlost: 20,3 km/s
Rektascenze radiantu: 08:26 (126,7°)
Deklinace radiantu: 14,4°
Meteorický roj: sporadický
Elementy dráhy meteoroidu:
Vzdálenost v periheliu: 0,684 AU
Excentricita: 0,582
Sklon dráhy: 2,5°
Délka vzestupného uzlu: 129,6°
Argument perihelia: 80,2°
Střední anomálie: 337,5°
Epocha: 2022 JAN 29 18:20:49
orbit

Neinteraktivní graf | Interaktivní graf

position vs time
speed & acceleration