🇳🇴 🇬🇧 🇩🇪 🇨🇿 🇫🇮

Meteor über Bruflat 2022-01-29 18:20:49 UTC

Gran – 2
Gran – 2
Trondheim – 1
Trondheim – 1
Voksenlia – 2
Voksenlia – 2

KML-Datei  | Interaktive Karte

map

Die Karte zeigt die Peilungen für den Meteor. Die helleren Linien zeigen die Richtungen von den Beobachtungsorten beim Erscheinen des Meteors, und die dunkleren Linien, wo er zuletzt gesehen wurde. Der blaue Pfeil zeigt die sichtbare Bahn des Meteors.

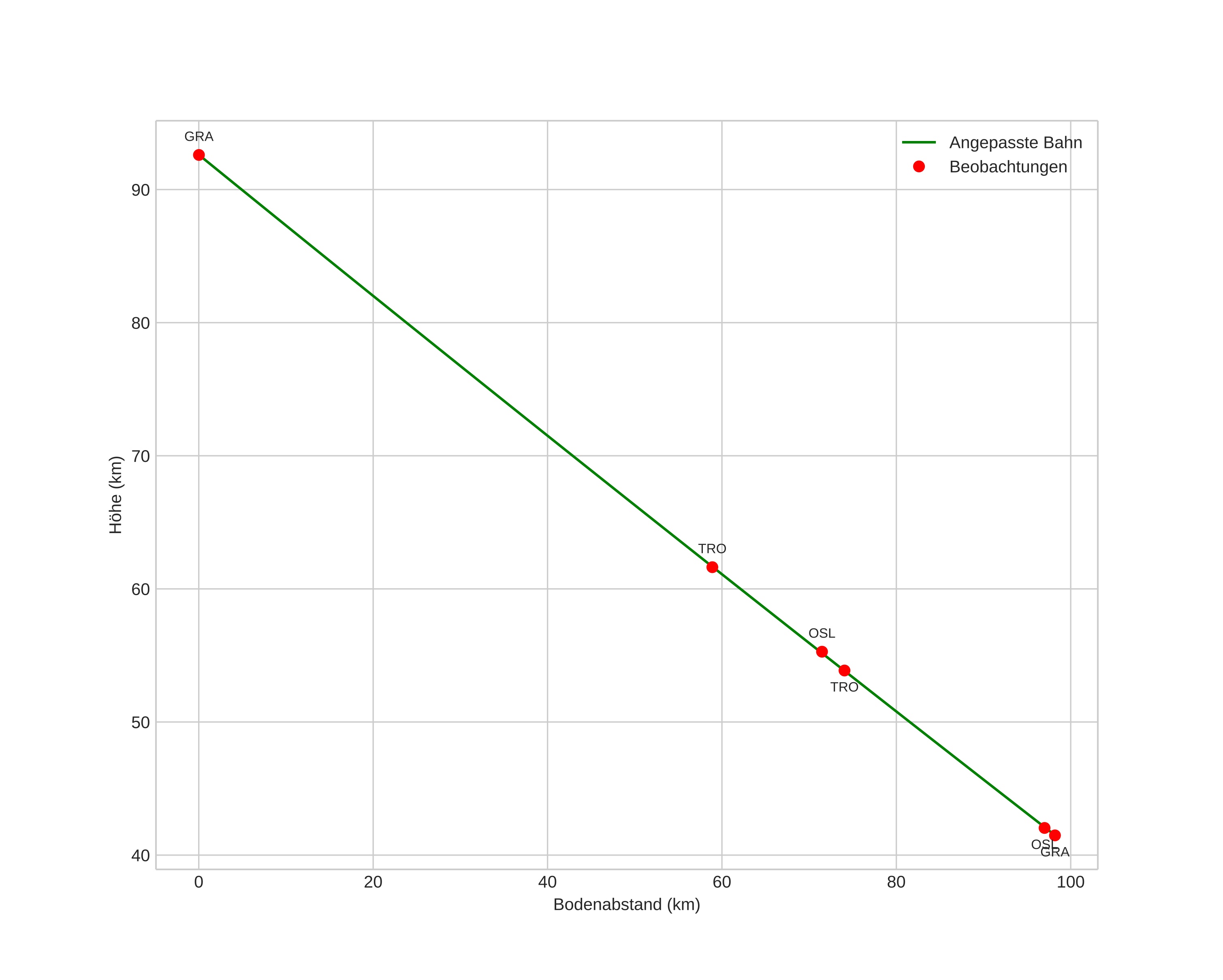
height profile
Atmosphärische Bahn des Meteors:
Anfangshöhe: 82,0 km
Endhöhe: 38,2 km
Startposition: 60,764N 11,342E
Endposition: 60,873N 9,804E
Richtung: 278,9°
Neigungswinkel: 27,5°
Eintrittsgeschwindigkeit: 20,3 km/s
Rektaszension des Radianten: 08:26 (126,7°)
Deklination des Radianten: 14,4°
Meteorstrom: sporadisch
Bahnelemente des Meteoroiden:
Periheldistanz: 0,684 AU
Exzentrizität: 0,582
Inklination: 2,5°
Länge des aufsteigenden Knotens: 129,6°
Argument des Perihels: 80,2°
Mittlere Anomalie: 337,5°
Epoche: 2022 JAN 29 18:20:49
orbit

Nicht-interaktives Diagramm | Interaktives Diagramm

position vs time
speed & acceleration