🇳🇴 🇬🇧 🇩🇪 🇨🇿 🇫🇮

Meteor, poloha: Bruflat 2022-01-29 18:24:24 UTC

Soubor KML  |  InteraktivnĂ­ mapa

Mapa zobrazuje dráhy meteoru. Světlejší čáry ukazují směry od pozorovacích stanic při objevení se meteoru a tmavší čáry, kde byl naposledy viděn. Modrá šipka značí viditelnou dráhu meteoru.

static map
height profile
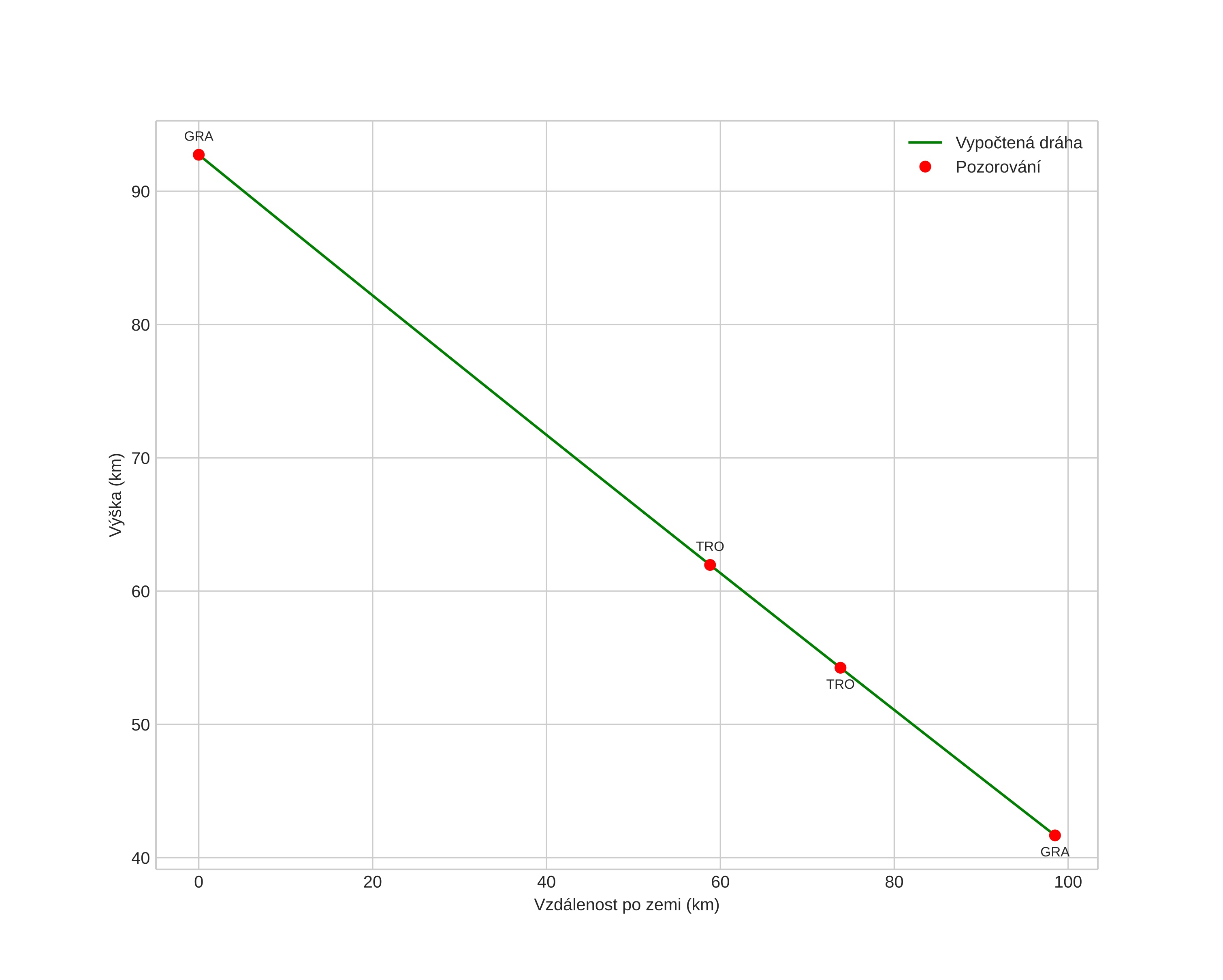
Atmosférická dráha meteoru:
Počáteční výška: 83,3 km
Konečná výška: 39,1 km
Počáteční poloha: 60,772N 11,356E
Konečná poloha: 60,889N 9,785E
Směr: 279,4°
Sklon: 27,2°
VstupnĂ­ rychlost: 20,8 km/s
Rektascenze radiantu: 08:28 (127,2°)
Deklinace radiantu: 14,2°
MeteorickĂ˝ roj: sporadickĂ˝
Elementy dráhy meteoroidu:
Vzdálenost v periheliu: 0,672 AU
Excentricita: 0,598
Sklon dráhy: 2,6°
Délka vzestupného uzlu: 129,6°
Argument perihelia: 81,3°
Střední anomálie: 338,3°
Epocha: 2022 JAN 29 18:24:24
orbit plot

NeinteraktivnĂ­ graf | InteraktivnĂ­ graf

position vs time
speed and acceleration