🇳🇴 🇬🇧 🇩🇪 🇨🇿 🇫🇮

Meteor Bruflatin yllä 2022-01-29 18:24:24 UTC

KML-tiedosto  |  Interaktiivinen kartta

Kartta näyttää meteorin suuntahavainnot. Vaaleammat viivat näyttävät suunnat havaintoasemilta meteorin ilmestyessä, ja tummemmat viivat näyttävät, missä se viimeksi nähtiin. Sininen nuoli näyttää meteorin näkyvän lennon.

static map
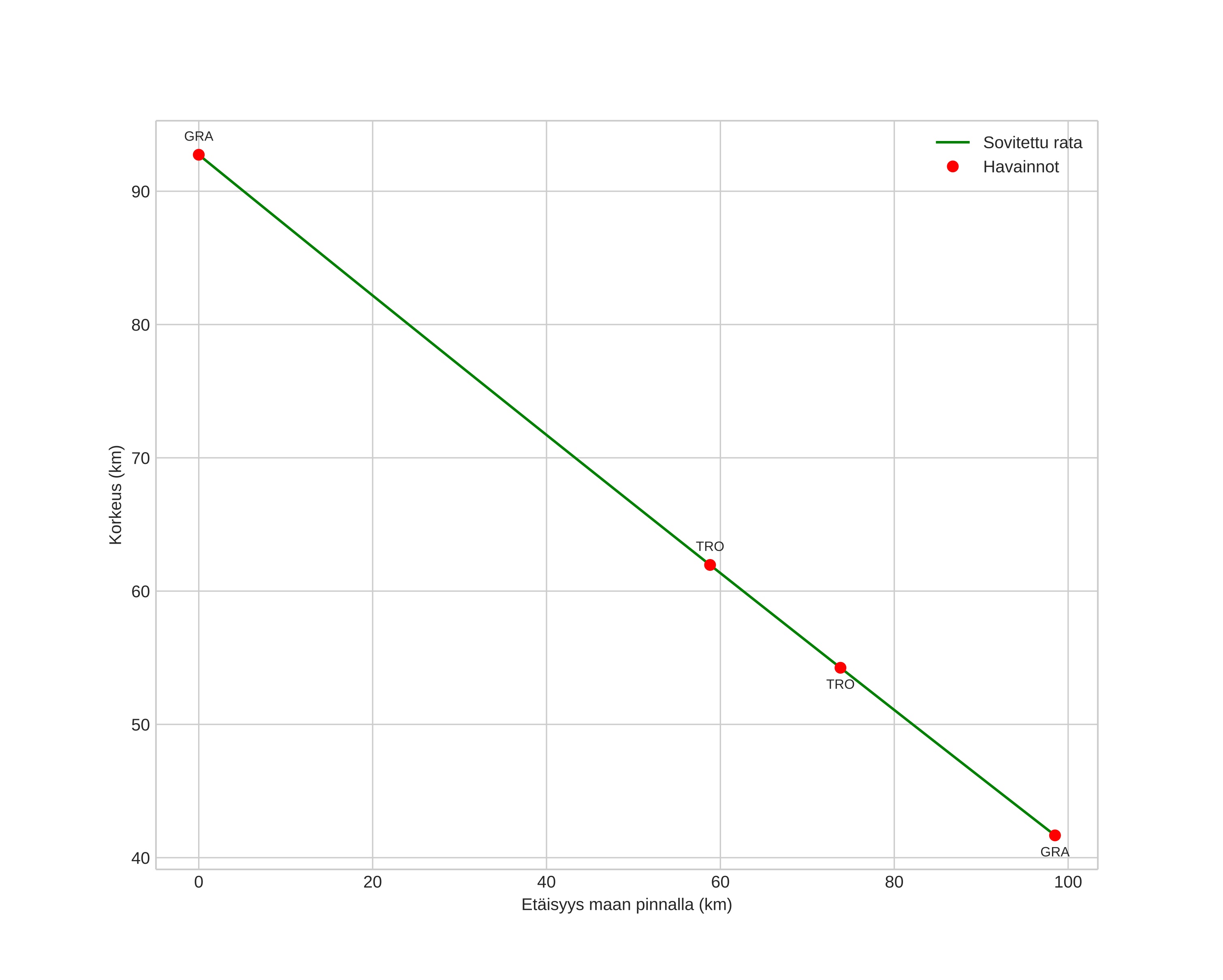
height profile
Meteorin ilmakehärata:
Alkukorkeus: 83,3 km
Loppukorkeus: 39,1 km
Alkupiste: 60,772N 11,356E
Loppupiste: 60,889N 9,785E
Suunta: 279,4°
Kallistuskulma: 27,2°
Tulonopeus: 20,8 km/s
Radiantin R,A,: 08:28 (127,2°)
Radiantin Dekl,: 14,2°
Meteoriparvi: Sporadinen
Meteoroidin rataelementit:
Perihelietäisyys: 0,672 AU
Eksentrisyys: 0,598
Inklinaatio: 2,6°
Nousevan solmun pituus: 129,6°
Perihelin argumentti: 81,3°
Keskianomalia: 338,3°
Epookki: 2022 JAN 29 18:24:24
orbit plot

Ei-interaktiivinen kuvaaja | Interaktiivinen kuvaaja

position vs time
speed and acceleration