🇳🇴 🇬🇧 🇩🇪 🇨🇿 🇫🇮

Meteor, poloha: Bygland 2022-01-30 21:48:23 UTC

Soubor KML  |  InteraktivnĂ­ mapa

Mapa zobrazuje dráhy meteoru. Světlejší čáry ukazují směry od pozorovacích stanic při objevení se meteoru a tmavší čáry, kde byl naposledy viděn. Modrá šipka značí viditelnou dráhu meteoru.

static map
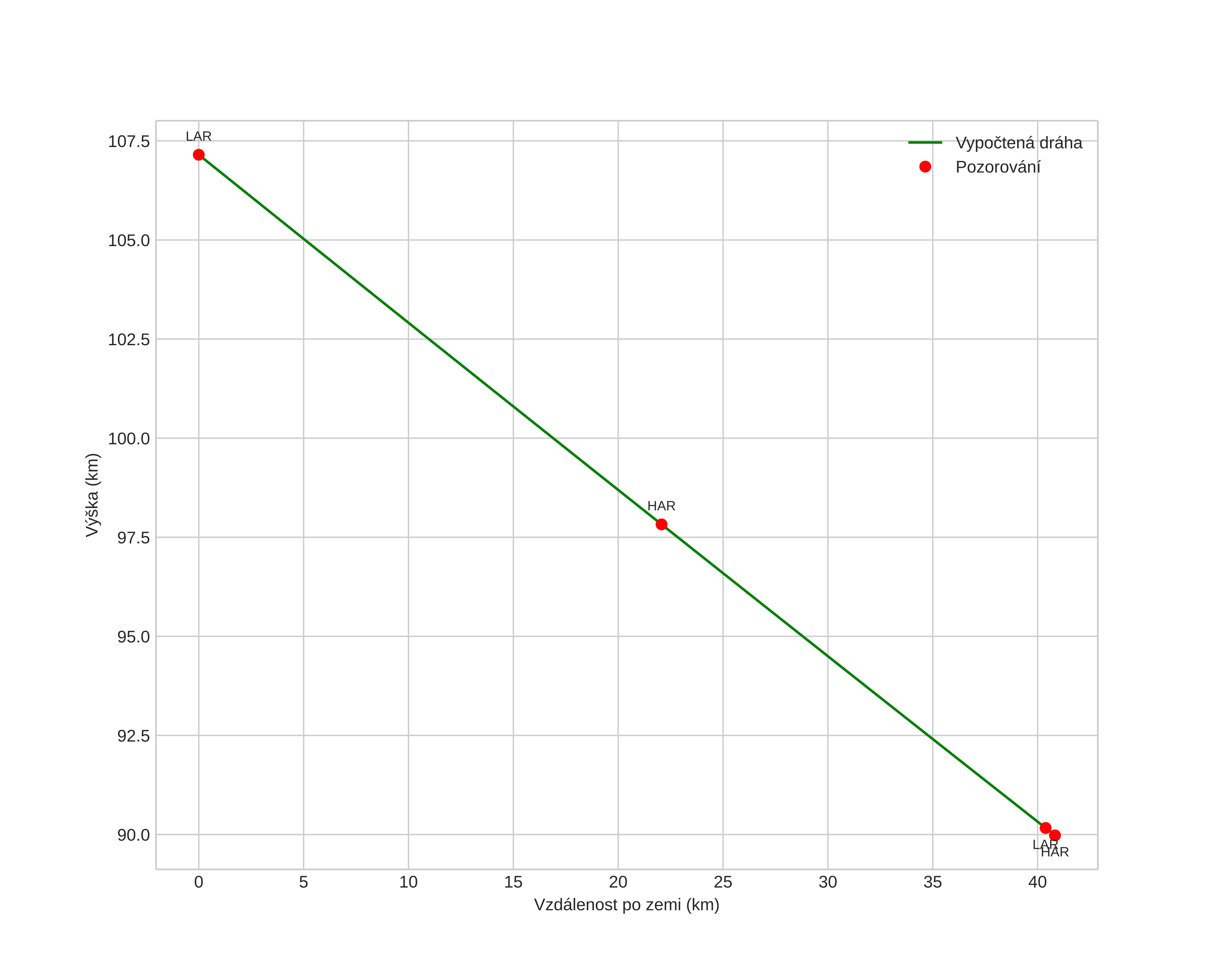
height profile
Atmosférická dráha meteoru:
Počáteční výška: 107,7 km
Konečná výška: 90,8 km
Počáteční poloha: 59,232N 8,207E
Konečná poloha: 58,934N 7,792E
Směr: 215,8°
Sklon: 22,5°
VstupnĂ­ rychlost: 47,5 km/s
Rektascenze radiantu: 15:42 (235,7°)
Deklinace radiantu: 44,7°
MeteorickĂ˝ roj: sporadickĂ˝
Elementy dráhy meteoroidu:
Vzdálenost v periheliu: 0,981 AU
Excentricita: 0,909
Sklon dráhy: 78,2°
Délka vzestupného uzlu: 310,7°
Argument perihelia: 187,9°
Střední anomálie: 359,8°
Epocha: 2022 JAN 30 21:48:23
orbit plot

NeinteraktivnĂ­ graf | InteraktivnĂ­ graf

position vs time
speed and acceleration