🇳🇴 🇬🇧 🇩🇪 🇨🇿 🇫🇮

Meteor Byglandin yllä 2022-01-30 21:48:23 UTC

KML-tiedosto  |  Interaktiivinen kartta

Kartta näyttää meteorin suuntahavainnot. Vaaleammat viivat näyttävät suunnat havaintoasemilta meteorin ilmestyessä, ja tummemmat viivat näyttävät, missä se viimeksi nähtiin. Sininen nuoli näyttää meteorin näkyvän lennon.

static map
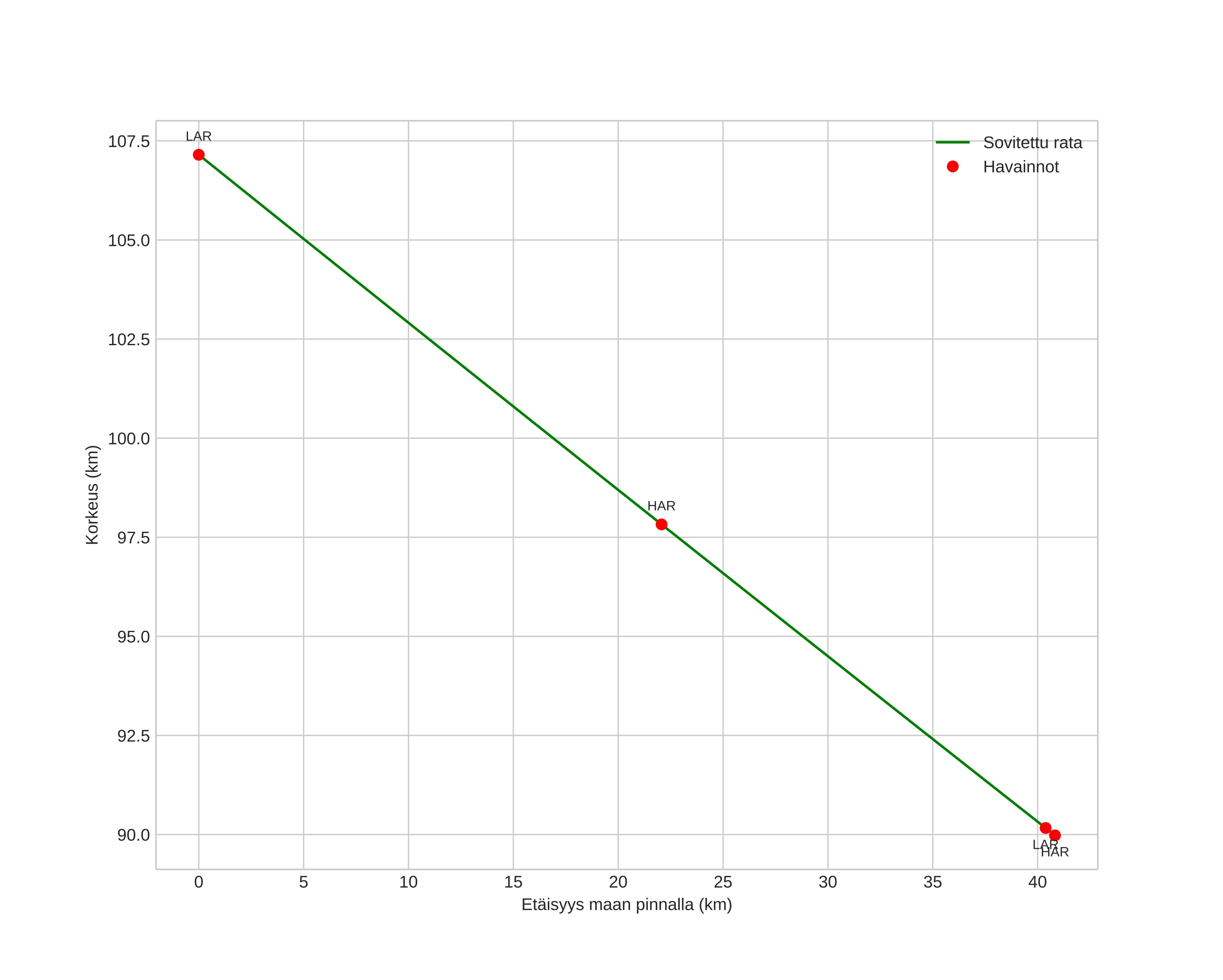
height profile
Meteorin ilmakehärata:
Alkukorkeus: 107,7 km
Loppukorkeus: 90,8 km
Alkupiste: 59,232N 8,207E
Loppupiste: 58,934N 7,792E
Suunta: 215,8°
Kallistuskulma: 22,5°
Tulonopeus: 47,5 km/s
Radiantin R,A,: 15:42 (235,7°)
Radiantin Dekl,: 44,7°
Meteoriparvi: Sporadinen
Meteoroidin rataelementit:
Perihelietäisyys: 0,981 AU
Eksentrisyys: 0,909
Inklinaatio: 78,2°
Nousevan solmun pituus: 310,7°
Perihelin argumentti: 187,9°
Keskianomalia: 359,8°
Epookki: 2022 JAN 30 21:48:23
orbit plot

Ei-interaktiivinen kuvaaja | Interaktiivinen kuvaaja

position vs time
speed and acceleration