🇳🇴 🇬🇧 🇩🇪 🇨🇿 🇫🇮

Meteor, poloha: Larvik 2022-01-31 01:54:44 UTC

Soubor KML  |  InteraktivnĂ­ mapa

Mapa zobrazuje dráhy meteoru. Světlejší čáry ukazují směry od pozorovacích stanic při objevení se meteoru a tmavší čáry, kde byl naposledy viděn. Modrá šipka značí viditelnou dráhu meteoru.

static map
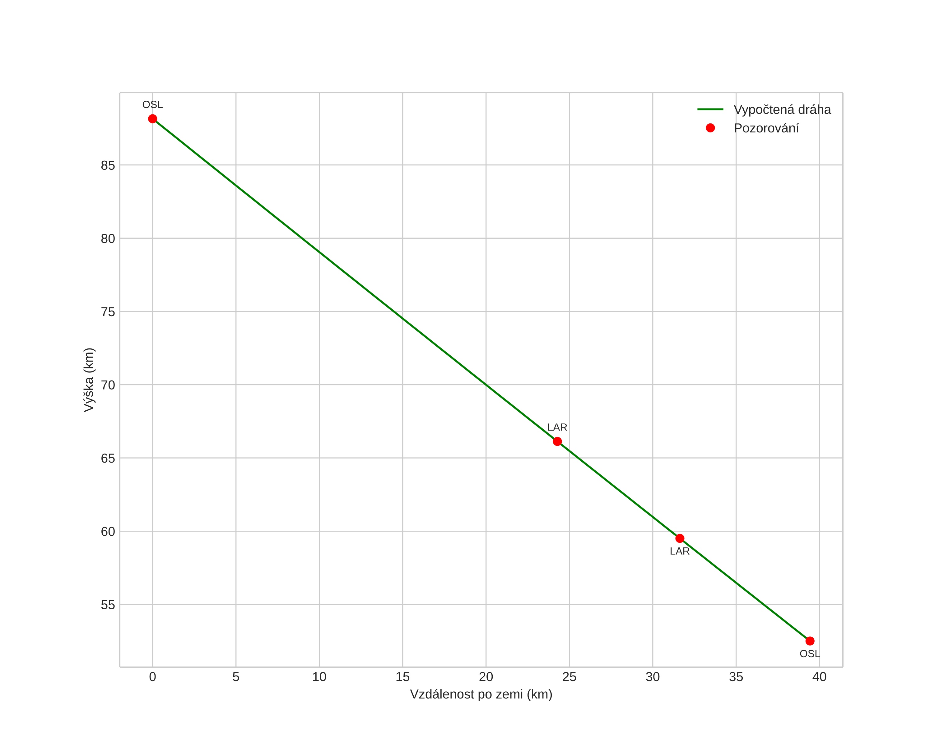
height profile
Atmosférická dráha meteoru:
Počáteční výška: 88,1 km
Konečná výška: 52,4 km
Počáteční poloha: 58,815N 9,580E
Konečná poloha: 59,079N 10,038E
Směr: 41,6°
Sklon: 42,2°
VstupnĂ­ rychlost: 28,6 km/s
Rektascenze radiantu: 09:04 (136,1°)
Deklinace radiantu: 14,7°
MeteorickĂ˝ roj: sporadickĂ˝
Elementy dráhy meteoroidu:
Vzdálenost v periheliu: 0,490 AU
Excentricita: 0,839
Sklon dráhy: 1,8°
Délka vzestupného uzlu: 130,9°
Argument perihelia: 95,7°
Střední anomálie: 352,2°
Epocha: 2022 JAN 31 01:54:44
orbit plot

NeinteraktivnĂ­ graf | InteraktivnĂ­ graf

position vs time
speed and acceleration