🇳🇴 🇬🇧 🇩🇪 🇨🇿 🇫🇮

Meteor Larvikin yllä 2022-01-31 01:54:44 UTC

KML-tiedosto  |  Interaktiivinen kartta

Kartta näyttää meteorin suuntahavainnot. Vaaleammat viivat näyttävät suunnat havaintoasemilta meteorin ilmestyessä, ja tummemmat viivat näyttävät, missä se viimeksi nähtiin. Sininen nuoli näyttää meteorin näkyvän lennon.

static map
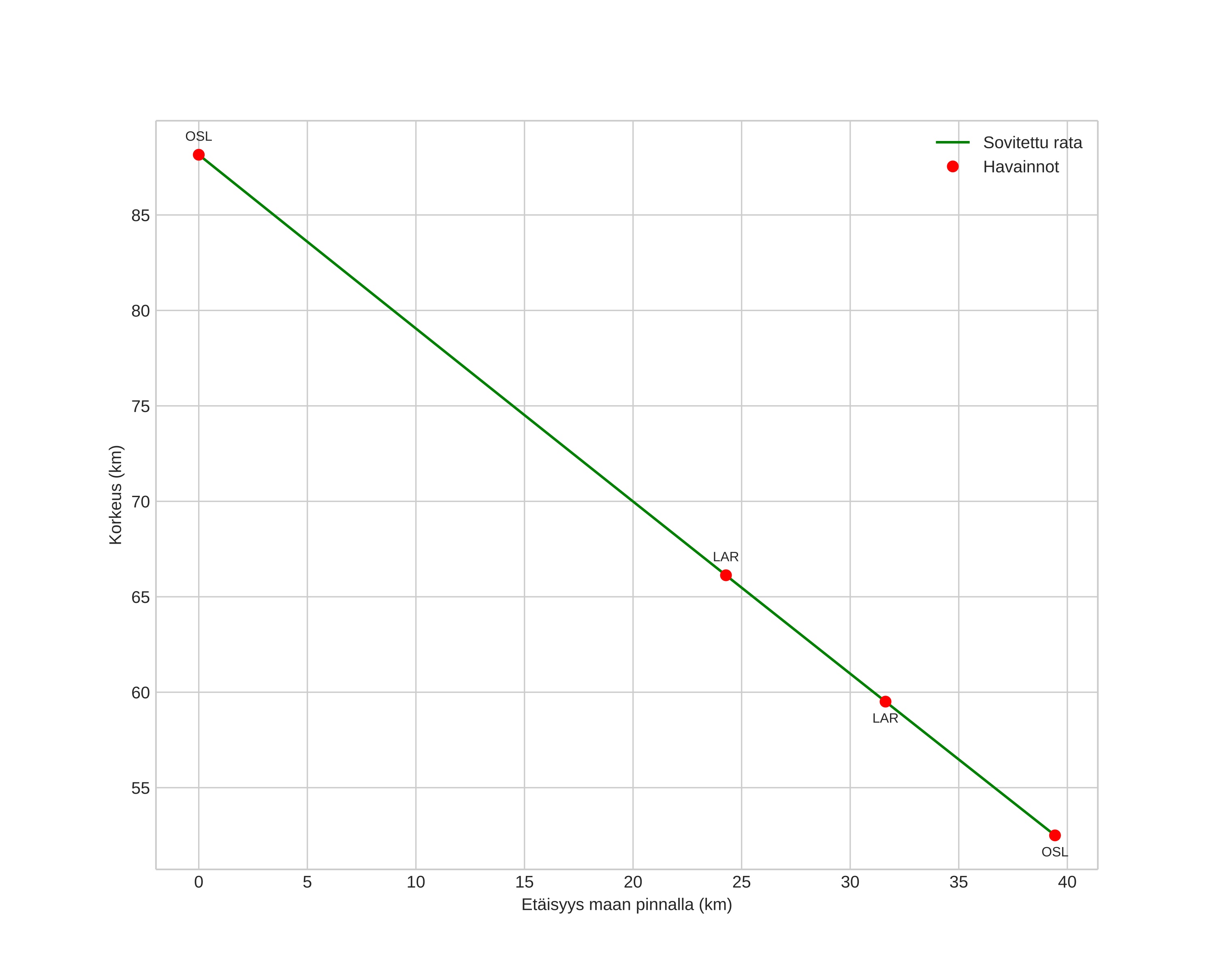
height profile
Meteorin ilmakehärata:
Alkukorkeus: 88,1 km
Loppukorkeus: 52,4 km
Alkupiste: 58,815N 9,580E
Loppupiste: 59,079N 10,038E
Suunta: 41,6°
Kallistuskulma: 42,2°
Tulonopeus: 28,6 km/s
Radiantin R,A,: 09:04 (136,1°)
Radiantin Dekl,: 14,7°
Meteoriparvi: Sporadinen
Meteoroidin rataelementit:
Perihelietäisyys: 0,490 AU
Eksentrisyys: 0,839
Inklinaatio: 1,8°
Nousevan solmun pituus: 130,9°
Perihelin argumentti: 95,7°
Keskianomalia: 352,2°
Epookki: 2022 JAN 31 01:54:44
orbit plot

Ei-interaktiivinen kuvaaja | Interaktiivinen kuvaaja

position vs time
speed and acceleration