🇳🇴 🇬🇧 🇩🇪 🇨🇿 🇫🇮

Meteor, poloha: Storsteinnes 2022-02-02 16:01:26 UTC

Soubor KML  |  InteraktivnĂ­ mapa

Mapa zobrazuje dráhy meteoru. Světlejší čáry ukazují směry od pozorovacích stanic při objevení se meteoru a tmavší čáry, kde byl naposledy viděn. Modrá šipka značí viditelnou dráhu meteoru.

static map
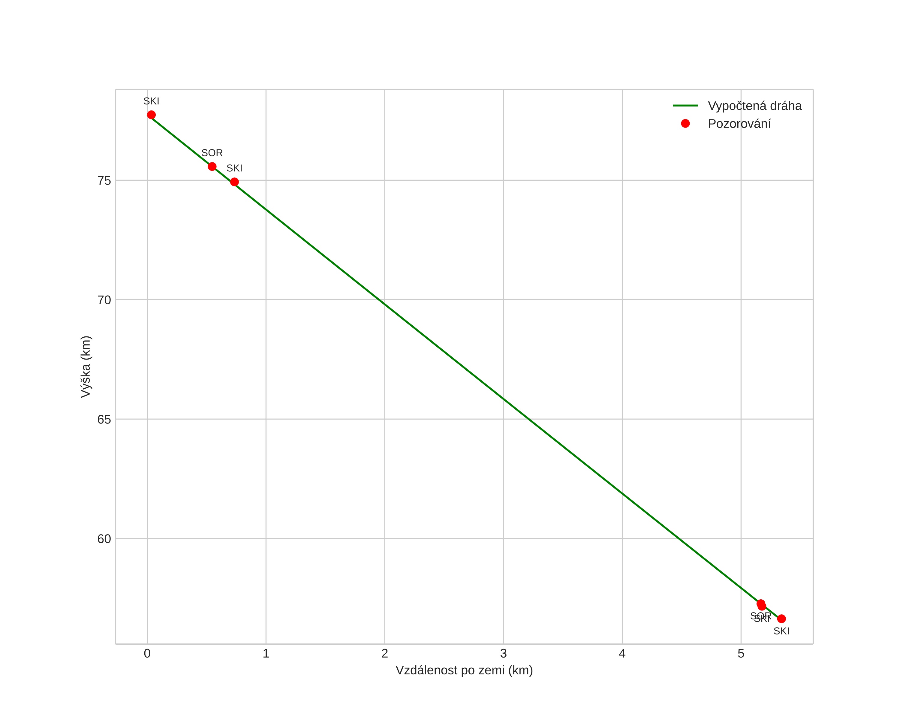
height profile
Atmosférická dráha meteoru:
Počáteční výška: 77,7 km
Konečná výška: 56,8 km
Počáteční poloha: 69,193N 19,270E
Konečná poloha: 69,148N 19,230E
Směr: 197,3°
Sklon: 75,8°
VstupnĂ­ rychlost: 16,6 km/s
Rektascenze radiantu: 04:35 (68,8°)
Deklinace radiantu: 83,2°
MeteorickĂ˝ roj: sporadickĂ˝
Elementy dráhy meteoroidu:
Vzdálenost v periheliu: 0,969 AU
Excentricita: 0,501
Sklon dráhy: 17,1°
Délka vzestupného uzlu: 313,5°
Argument perihelia: 198,1°
Střední anomálie: 354,7°
Epocha: 2022 FEB 02 16:01:26
orbit plot

NeinteraktivnĂ­ graf | InteraktivnĂ­ graf

position vs time
speed and acceleration