🇳🇴 🇬🇧 🇩🇪 🇨🇿 🇫🇮

Meteor Storsteinnesin yllä 2022-02-02 16:01:26 UTC

KML-tiedosto  |  Interaktiivinen kartta

Kartta näyttää meteorin suuntahavainnot. Vaaleammat viivat näyttävät suunnat havaintoasemilta meteorin ilmestyessä, ja tummemmat viivat näyttävät, missä se viimeksi nähtiin. Sininen nuoli näyttää meteorin näkyvän lennon.

static map
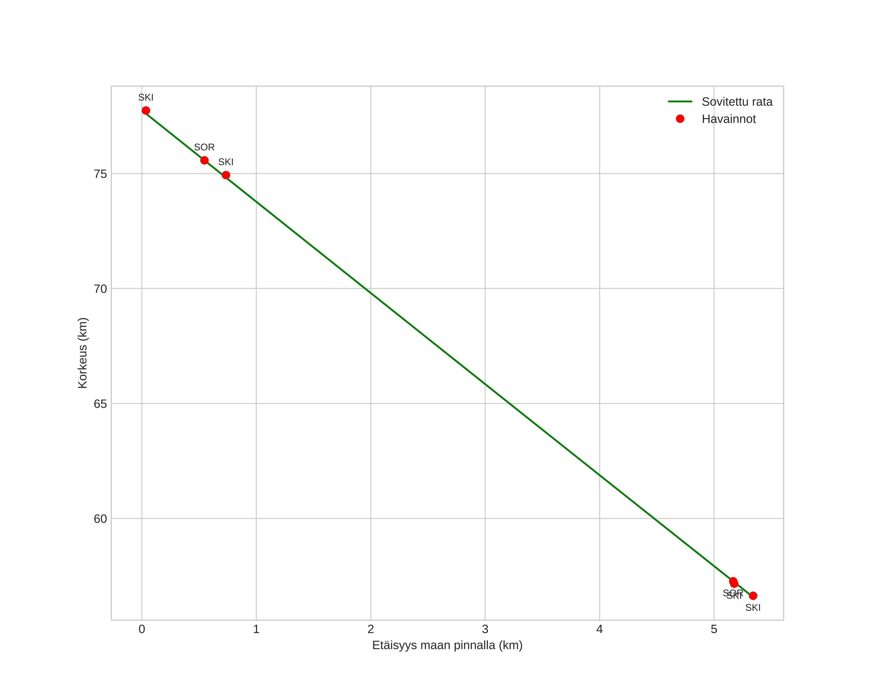
height profile
Meteorin ilmakehärata:
Alkukorkeus: 77,7 km
Loppukorkeus: 56,8 km
Alkupiste: 69,193N 19,270E
Loppupiste: 69,148N 19,230E
Suunta: 197,3°
Kallistuskulma: 75,8°
Tulonopeus: 16,6 km/s
Radiantin R,A,: 04:35 (68,8°)
Radiantin Dekl,: 83,2°
Meteoriparvi: Sporadinen
Meteoroidin rataelementit:
Perihelietäisyys: 0,969 AU
Eksentrisyys: 0,501
Inklinaatio: 17,1°
Nousevan solmun pituus: 313,5°
Perihelin argumentti: 198,1°
Keskianomalia: 354,7°
Epookki: 2022 FEB 02 16:01:26
orbit plot

Ei-interaktiivinen kuvaaja | Interaktiivinen kuvaaja

position vs time
speed and acceleration