🇳🇴 🇬🇧 🇩🇪 🇨🇿 🇫🇮

Meteor, poloha: Harstad 2022-02-02 16:35:17 UTC

Soubor KML  |  InteraktivnĂ­ mapa

Mapa zobrazuje dráhy meteoru. Světlejší čáry ukazují směry od pozorovacích stanic při objevení se meteoru a tmavší čáry, kde byl naposledy viděn. Modrá šipka značí viditelnou dráhu meteoru.

static map
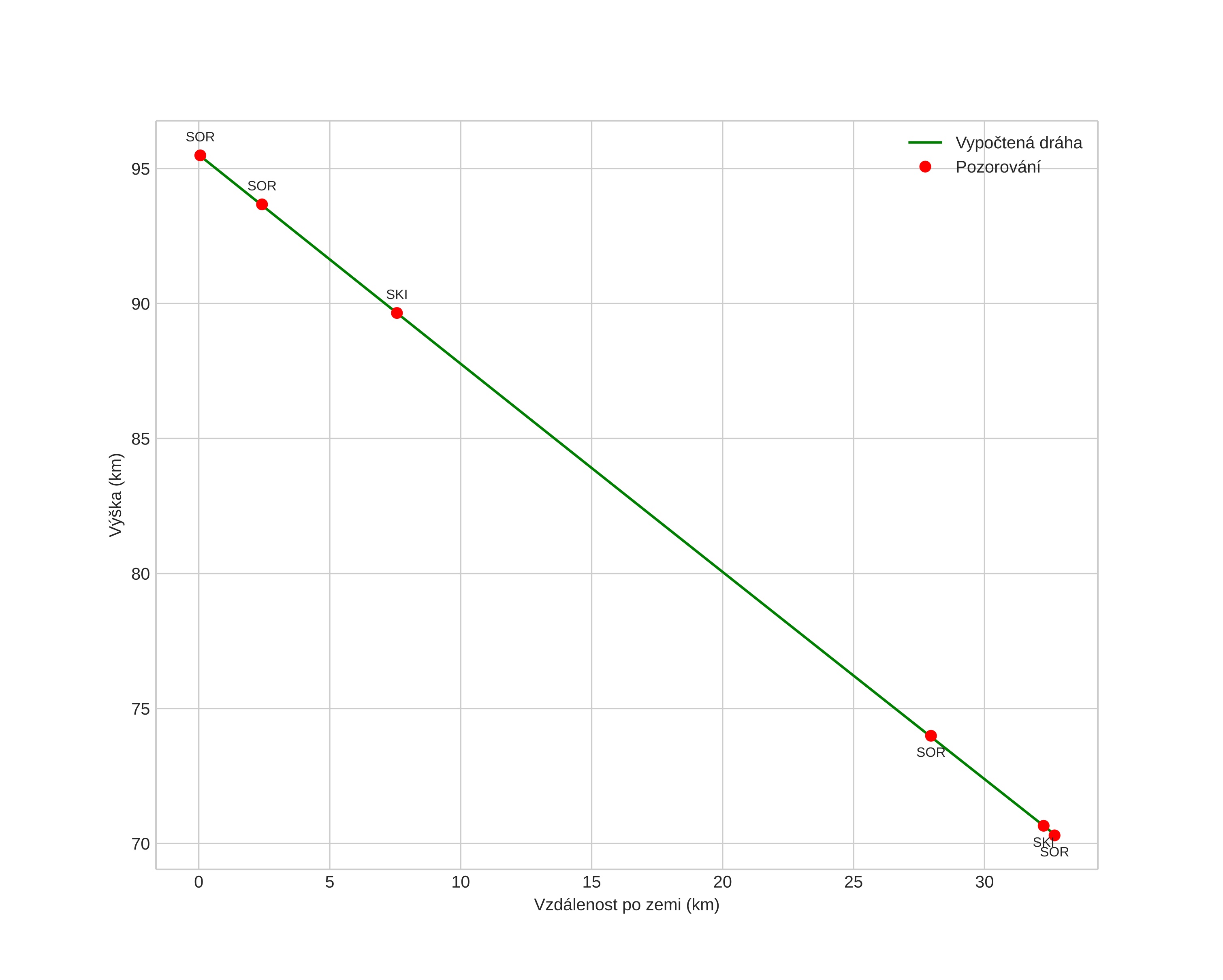
height profile
Atmosférická dráha meteoru:
Počáteční výška: 95,0 km
Konečná výška: 68,5 km
Počáteční poloha: 68,831N 17,323E
Konečná poloha: 68,947N 16,600E
Směr: 294,3°
Sklon: 39,9°
VstupnĂ­ rychlost: 17,1 km/s
Rektascenze radiantu: 06:16 (94,2°)
Deklinace radiantu: 22,3°
MeteorickĂ˝ roj: sporadickĂ˝
Elementy dráhy meteoroidu:
Vzdálenost v periheliu: 0,918 AU
Excentricita: 0,759
Sklon dráhy: 0,4°
Délka vzestupného uzlu: 133,8°
Argument perihelia: 32,5°
Střední anomálie: 356,9°
Epocha: 2022 FEB 02 16:35:17
orbit plot

NeinteraktivnĂ­ graf | InteraktivnĂ­ graf

position vs time
speed and acceleration