🇳🇴 🇬🇧 🇩🇪 🇨🇿 🇫🇮

Meteor Harstadin yllä 2022-02-02 16:35:17 UTC

KML-tiedosto  |  Interaktiivinen kartta

Kartta näyttää meteorin suuntahavainnot. Vaaleammat viivat näyttävät suunnat havaintoasemilta meteorin ilmestyessä, ja tummemmat viivat näyttävät, missä se viimeksi nähtiin. Sininen nuoli näyttää meteorin näkyvän lennon.

static map
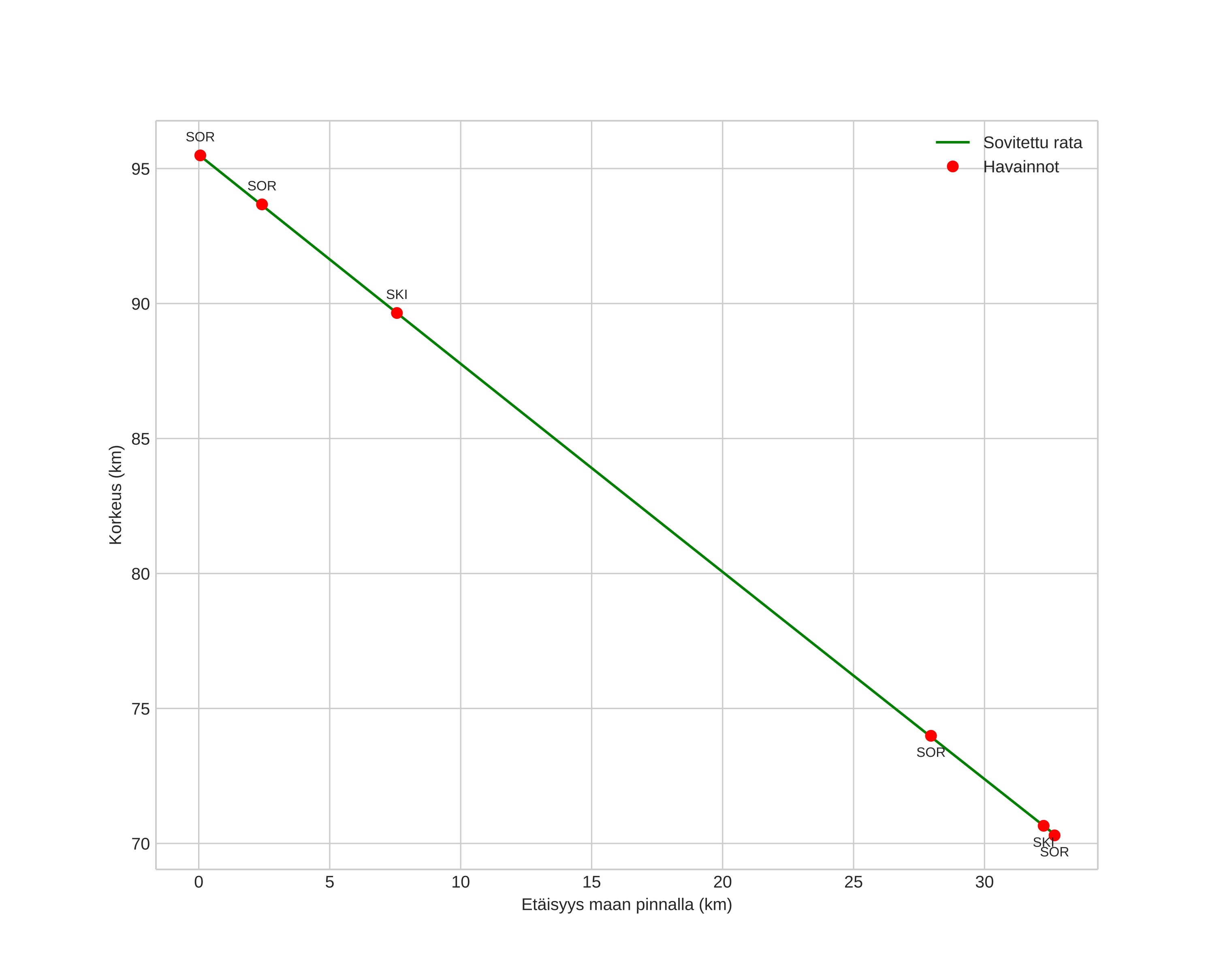
height profile
Meteorin ilmakehärata:
Alkukorkeus: 95,0 km
Loppukorkeus: 68,5 km
Alkupiste: 68,831N 17,323E
Loppupiste: 68,947N 16,600E
Suunta: 294,3°
Kallistuskulma: 39,9°
Tulonopeus: 17,1 km/s
Radiantin R,A,: 06:16 (94,2°)
Radiantin Dekl,: 22,3°
Meteoriparvi: Sporadinen
Meteoroidin rataelementit:
Perihelietäisyys: 0,918 AU
Eksentrisyys: 0,759
Inklinaatio: 0,4°
Nousevan solmun pituus: 133,8°
Perihelin argumentti: 32,5°
Keskianomalia: 356,9°
Epookki: 2022 FEB 02 16:35:17
orbit plot

Ei-interaktiivinen kuvaaja | Interaktiivinen kuvaaja

position vs time
speed and acceleration