🇳🇴 🇬🇧 🇩🇪 🇨🇿 🇫🇮

Meteor, poloha: Fagernes 2022-02-02 18:37:52 UTC

Soubor KML  |  InteraktivnĂ­ mapa

Mapa zobrazuje dráhy meteoru. Světlejší čáry ukazují směry od pozorovacích stanic při objevení se meteoru a tmavší čáry, kde byl naposledy viděn. Modrá šipka značí viditelnou dráhu meteoru.

static map
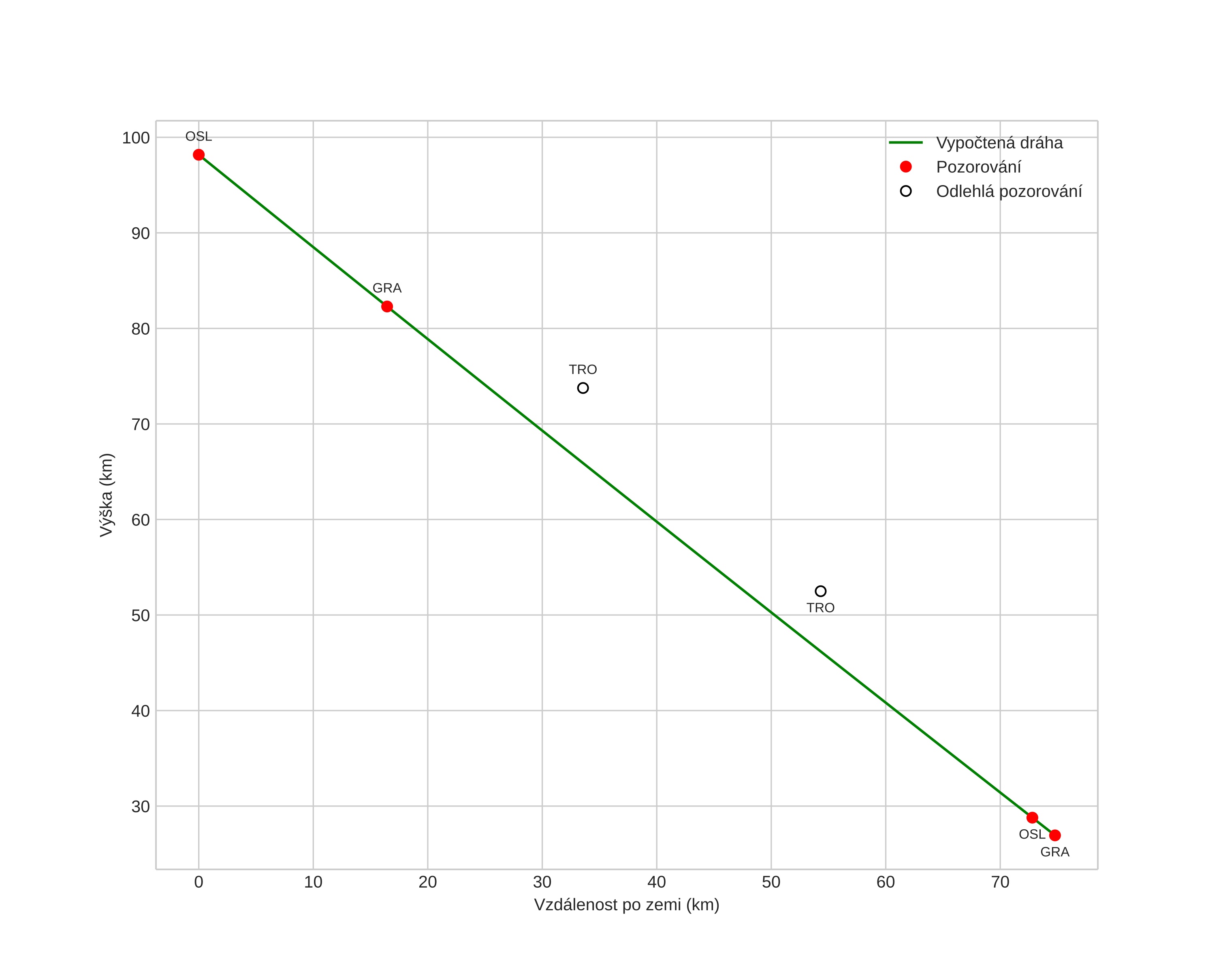
height profile
Atmosférická dráha meteoru:
Počáteční výška: 87,2 km
Konečná výška: 27,7 km
Počáteční poloha: 60,729N 10,233E
Konečná poloha: 60,885N 9,186E
Směr: 287,5°
Sklon: 45,1°
VstupnĂ­ rychlost: 18,1 km/s
Rektascenze radiantu: 07:47 (116,8°)
Deklinace radiantu: 26,4°
MeteorickĂ˝ roj: sporadickĂ˝
Elementy dráhy meteoroidu:
Vzdálenost v periheliu: 0,828 AU
Excentricita: 0,618
Sklon dráhy: 2,1°
Délka vzestupného uzlu: 313,5°
Argument perihelia: 234,5°
Střední anomálie: 348,6°
Epocha: 2022 FEB 02 18:37:52
orbit plot

NeinteraktivnĂ­ graf | InteraktivnĂ­ graf

position vs time
speed and acceleration