🇳🇴 🇬🇧 🇩🇪 🇨🇿 🇫🇮

Meteor Fagernesin yllä 2022-02-02 18:37:52 UTC

KML-tiedosto  |  Interaktiivinen kartta

Kartta näyttää meteorin suuntahavainnot. Vaaleammat viivat näyttävät suunnat havaintoasemilta meteorin ilmestyessä, ja tummemmat viivat näyttävät, missä se viimeksi nähtiin. Sininen nuoli näyttää meteorin näkyvän lennon.

static map
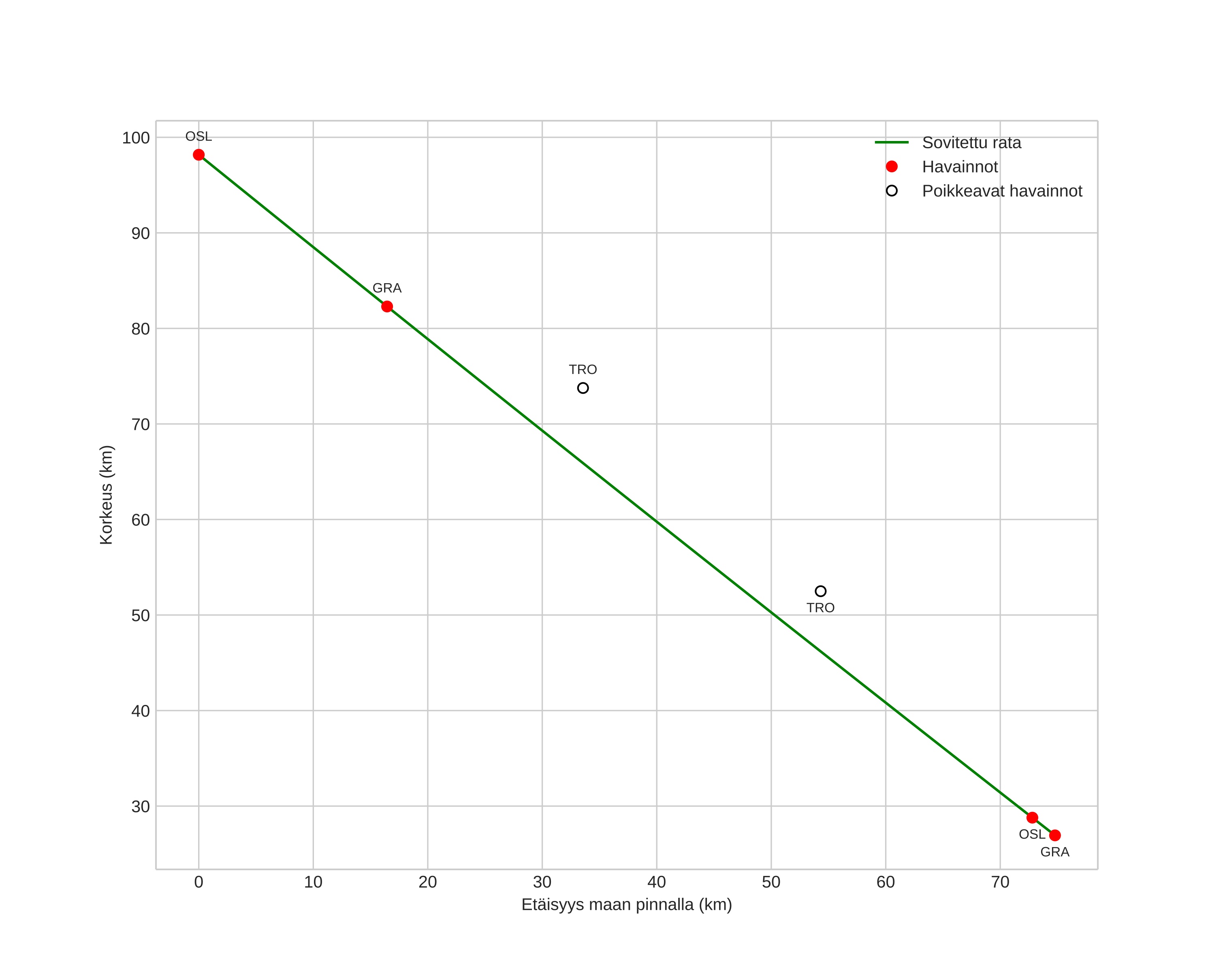
height profile
Meteorin ilmakehärata:
Alkukorkeus: 87,2 km
Loppukorkeus: 27,7 km
Alkupiste: 60,729N 10,233E
Loppupiste: 60,885N 9,186E
Suunta: 287,5°
Kallistuskulma: 45,1°
Tulonopeus: 18,1 km/s
Radiantin R,A,: 07:47 (116,8°)
Radiantin Dekl,: 26,4°
Meteoriparvi: Sporadinen
Meteoroidin rataelementit:
Perihelietäisyys: 0,828 AU
Eksentrisyys: 0,618
Inklinaatio: 2,1°
Nousevan solmun pituus: 313,5°
Perihelin argumentti: 234,5°
Keskianomalia: 348,6°
Epookki: 2022 FEB 02 18:37:52
orbit plot

Ei-interaktiivinen kuvaaja | Interaktiivinen kuvaaja

position vs time
speed and acceleration