🇳🇴 🇬🇧 🇩🇪 🇨🇿 🇫🇮

Meteor, poloha: Fjerdingby 2022-02-03 00:13:11 UTC

Soubor KML  |  InteraktivnĂ­ mapa

Mapa zobrazuje dráhy meteoru. Světlejší čáry ukazují směry od pozorovacích stanic při objevení se meteoru a tmavší čáry, kde byl naposledy viděn. Modrá šipka značí viditelnou dráhu meteoru.

static map
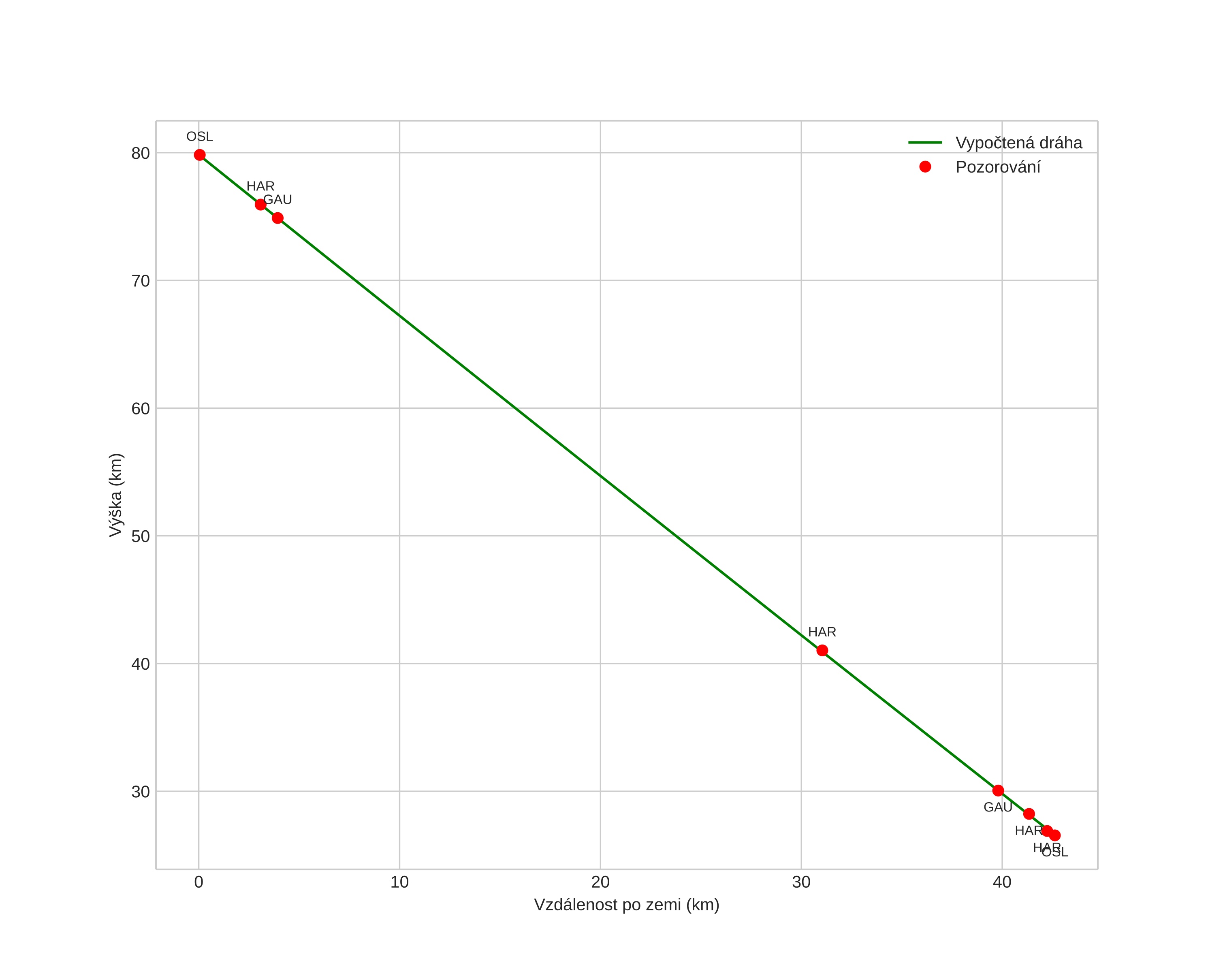
height profile
Atmosférická dráha meteoru:
Počáteční výška: 75,9 km
Konečná výška: 25,8 km
Počáteční poloha: 59,847N 10,324E
Konečná poloha: 59,889N 11,036E
Směr: 83,0°
Sklon: 51,4°
VstupnĂ­ rychlost: 13,5 km/s
Rektascenze radiantu: 05:36 (84,1°)
Deklinace radiantu: 30,4°
MeteorickĂ˝ roj: sporadickĂ˝
Elementy dráhy meteoroidu:
Vzdálenost v periheliu: 0,958 AU
Excentricita: 0,494
Sklon dráhy: 1,5°
Délka vzestupného uzlu: 313,8°
Argument perihelia: 203,6°
Střední anomálie: 352,9°
Epocha: 2022 FEB 03 00:13:11
orbit plot

NeinteraktivnĂ­ graf | InteraktivnĂ­ graf

position vs time
speed and acceleration