🇳🇴 🇬🇧 🇩🇪 🇨🇿 🇫🇮

Meteor Fjerdingbyn yllä 2022-02-03 00:13:11 UTC

KML-tiedosto  |  Interaktiivinen kartta

Kartta näyttää meteorin suuntahavainnot. Vaaleammat viivat näyttävät suunnat havaintoasemilta meteorin ilmestyessä, ja tummemmat viivat näyttävät, missä se viimeksi nähtiin. Sininen nuoli näyttää meteorin näkyvän lennon.

static map
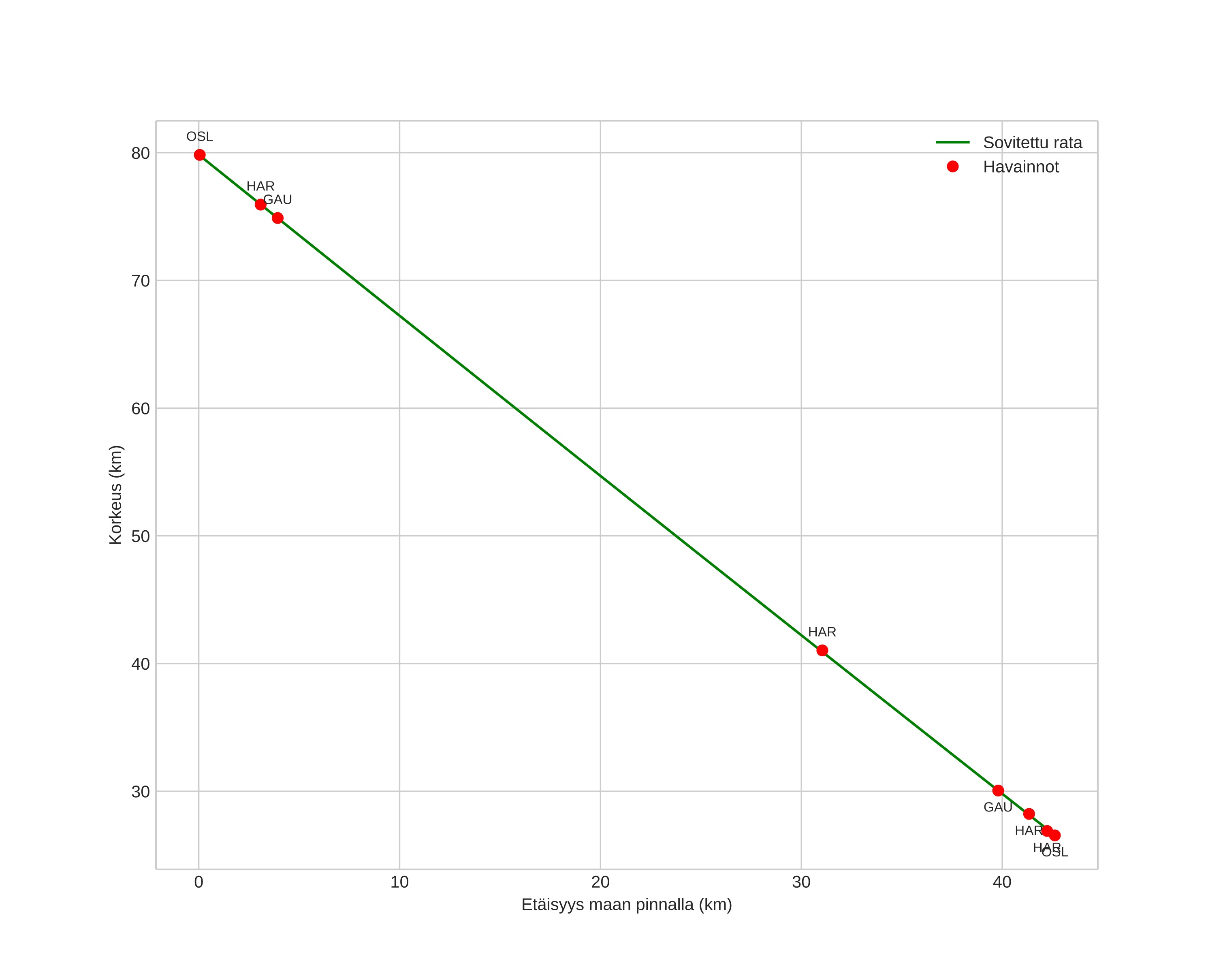
height profile
Meteorin ilmakehärata:
Alkukorkeus: 75,9 km
Loppukorkeus: 25,8 km
Alkupiste: 59,847N 10,324E
Loppupiste: 59,889N 11,036E
Suunta: 83,0°
Kallistuskulma: 51,4°
Tulonopeus: 13,5 km/s
Radiantin R,A,: 05:36 (84,1°)
Radiantin Dekl,: 30,4°
Meteoriparvi: Sporadinen
Meteoroidin rataelementit:
Perihelietäisyys: 0,958 AU
Eksentrisyys: 0,494
Inklinaatio: 1,5°
Nousevan solmun pituus: 313,8°
Perihelin argumentti: 203,6°
Keskianomalia: 352,9°
Epookki: 2022 FEB 03 00:13:11
orbit plot

Ei-interaktiivinen kuvaaja | Interaktiivinen kuvaaja

position vs time
speed and acceleration

Gaustatoppen (GAU) cam3


gnomonic
Videot:
• Gnomoninen
• Gnomoninen koordinaateilla
• Alkuperäinen
• Alkuperäinen koordinaateilla
Kuvat:
• Gnomoninen
• Gnomoninen koordinaateilla
• Gnomoninen merkinnöillä
• Alkuperäinen
• Alkuperäinen koordinaateilla
• Alkuperäinen maskilla
Tekstitiedostot:
• Havaintoraportti
• Observaatio
• Koordinaatit
• Virheilmoitukset
• Loki
Kirkkaus