🇳🇴 🇬🇧 🇩🇪 🇨🇿 🇫🇮

Meteor, poloha: Moen 2022-02-03 01:46:02 UTC

Soubor KML  |  InteraktivnĂ­ mapa

Mapa zobrazuje dráhy meteoru. Světlejší čáry ukazují směry od pozorovacích stanic při objevení se meteoru a tmavší čáry, kde byl naposledy viděn. Modrá šipka značí viditelnou dráhu meteoru.

static map
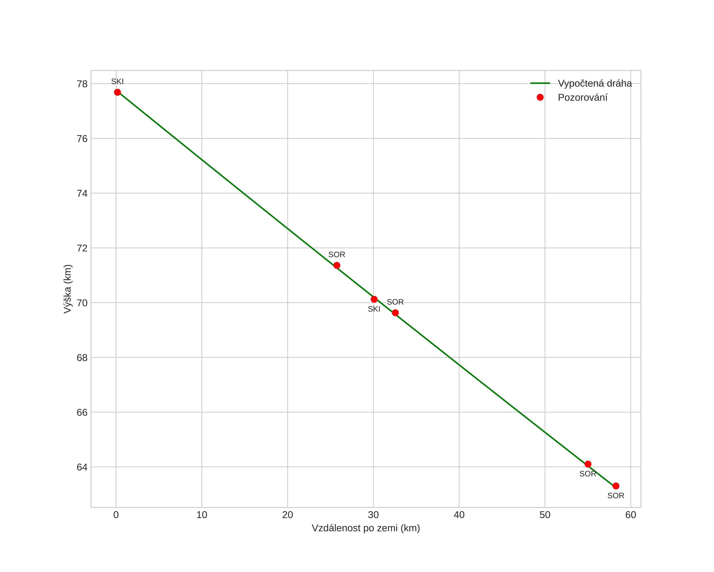
height profile
Atmosférická dráha meteoru:
Počáteční výška: 78,0 km
Konečná výška: 63,3 km
Počáteční poloha: 69,044N 20,351E
Konečná poloha: 68,970N 18,903E
Směr: 262,5°
Sklon: 14,2°
VstupnĂ­ rychlost: 39,8 km/s
Rektascenze radiantu: 18:09 (272,3°)
Deklinace radiantu: 14,2°
MeteorickĂ˝ roj: sporadickĂ˝
Elementy dráhy meteoroidu:
Vzdálenost v periheliu: 0,416 AU
Excentricita: 0,707
Sklon dráhy: 65,9°
Délka vzestupného uzlu: 313,9°
Argument perihelia: 66,8°
Střední anomálie: 27,8°
Epocha: 2022 FEB 03 01:46:02
orbit plot

NeinteraktivnĂ­ graf | InteraktivnĂ­ graf

position vs time
speed and acceleration