🇳🇴 🇬🇧 🇩🇪 🇨🇿 🇫🇮

Meteor Moenin yllä 2022-02-03 01:46:02 UTC

KML-tiedosto  |  Interaktiivinen kartta

Kartta näyttää meteorin suuntahavainnot. Vaaleammat viivat näyttävät suunnat havaintoasemilta meteorin ilmestyessä, ja tummemmat viivat näyttävät, missä se viimeksi nähtiin. Sininen nuoli näyttää meteorin näkyvän lennon.

static map
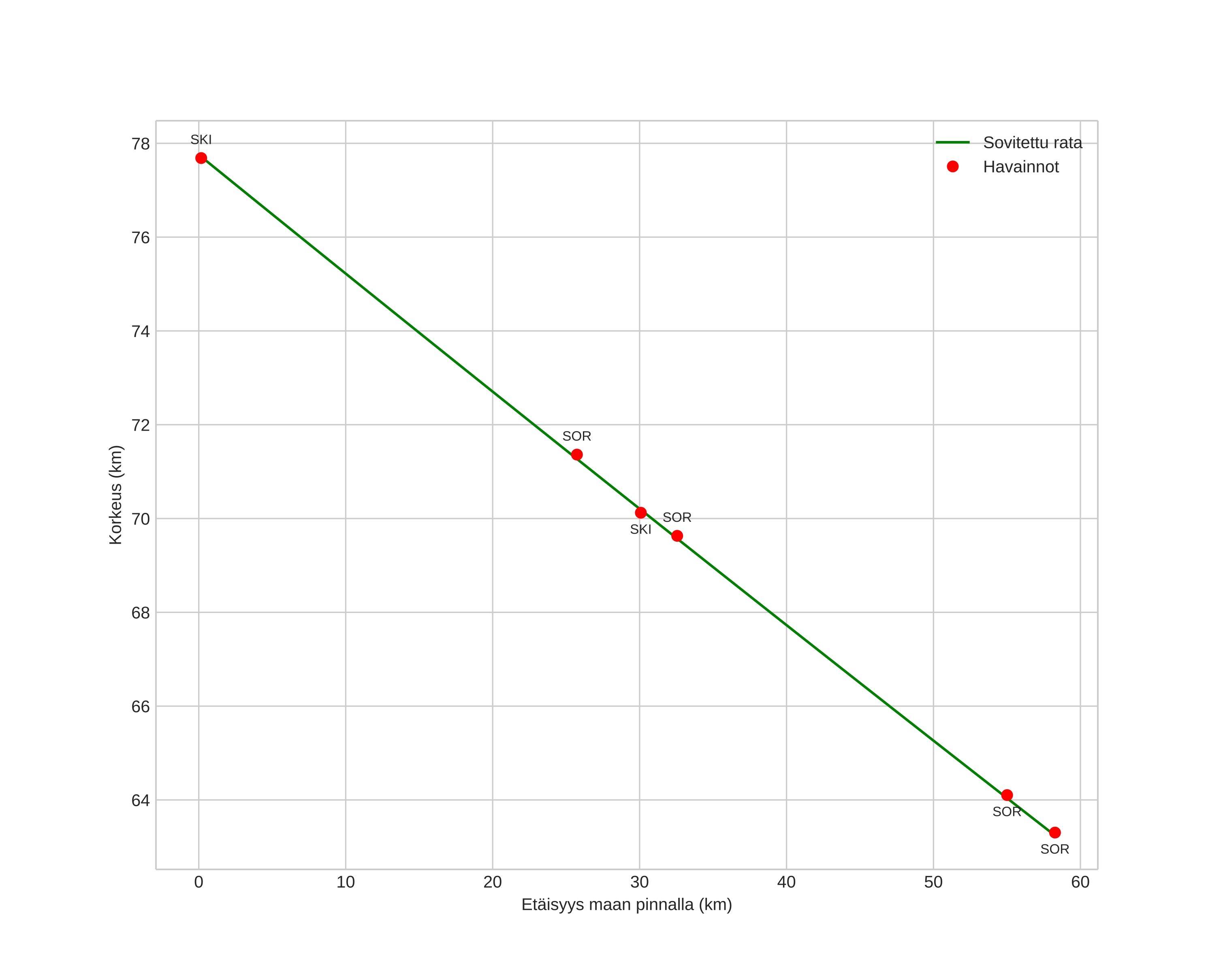
height profile
Meteorin ilmakehärata:
Alkukorkeus: 78,0 km
Loppukorkeus: 63,3 km
Alkupiste: 69,044N 20,351E
Loppupiste: 68,970N 18,903E
Suunta: 262,5°
Kallistuskulma: 14,2°
Tulonopeus: 39,8 km/s
Radiantin R,A,: 18:09 (272,3°)
Radiantin Dekl,: 14,2°
Meteoriparvi: Sporadinen
Meteoroidin rataelementit:
Perihelietäisyys: 0,416 AU
Eksentrisyys: 0,707
Inklinaatio: 65,9°
Nousevan solmun pituus: 313,9°
Perihelin argumentti: 66,8°
Keskianomalia: 27,8°
Epookki: 2022 FEB 03 01:46:02
orbit plot

Ei-interaktiivinen kuvaaja | Interaktiivinen kuvaaja

position vs time
speed and acceleration