🇳🇴 🇬🇧 🇩🇪 🇨🇿 🇫🇮

Meteor, poloha: Skjervøy 2022-02-04 00:41:02 UTC

Soubor KML  |  InteraktivnĂ­ mapa

Mapa zobrazuje dráhy meteoru. Světlejší čáry ukazují směry od pozorovacích stanic při objevení se meteoru a tmavší čáry, kde byl naposledy viděn. Modrá šipka značí viditelnou dráhu meteoru.

static map
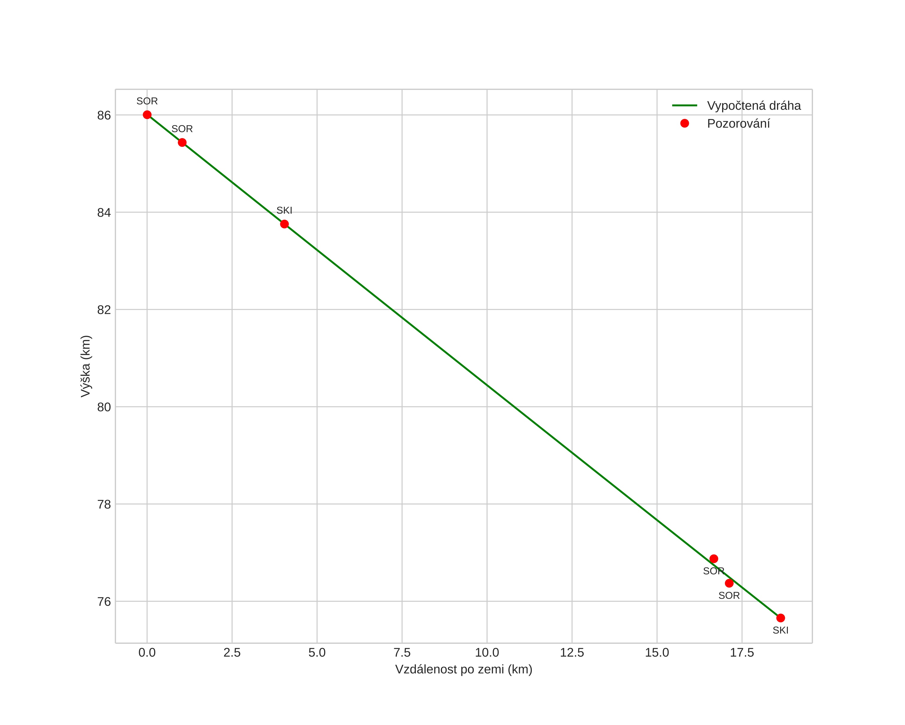
height profile
Atmosférická dráha meteoru:
Počáteční výška: 86,0 km
Konečná výška: 75,6 km
Počáteční poloha: 70,235N 21,034E
Konečná poloha: 70,067N 21,052E
Směr: 177,9°
Sklon: 29,1°
VstupnĂ­ rychlost: 17,2 km/s
Rektascenze radiantu: 23:13 (348,4°)
Deklinace radiantu: 39,7°
MeteorickĂ˝ roj: sporadickĂ˝
Elementy dráhy meteoroidu:
Vzdálenost v periheliu: 0,958 AU
Excentricita: 0,757
Sklon dráhy: 12,5°
Délka vzestupného uzlu: 314,9°
Argument perihelia: 159,2°
Střední anomálie: 1,9°
Epocha: 2022 FEB 04 00:41:02
orbit plot

NeinteraktivnĂ­ graf | InteraktivnĂ­ graf

position vs time
speed and acceleration