🇳🇴 🇬🇧 🇩🇪 🇨🇿 🇫🇮

Meteor Skjervøyn yllä 2022-02-04 00:41:02 UTC

KML-tiedosto  |  Interaktiivinen kartta

Kartta näyttää meteorin suuntahavainnot. Vaaleammat viivat näyttävät suunnat havaintoasemilta meteorin ilmestyessä, ja tummemmat viivat näyttävät, missä se viimeksi nähtiin. Sininen nuoli näyttää meteorin näkyvän lennon.

static map
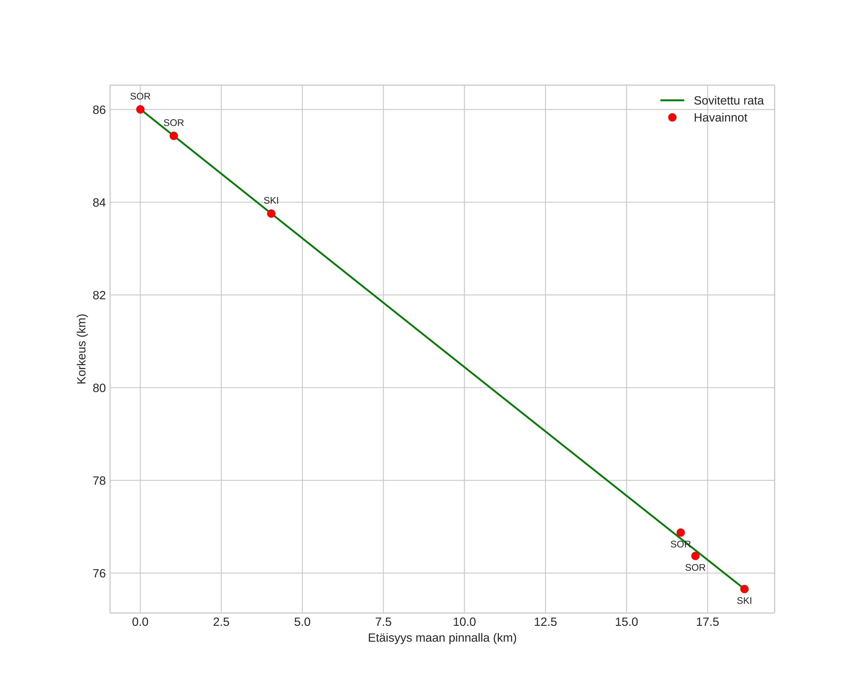
height profile
Meteorin ilmakehärata:
Alkukorkeus: 86,0 km
Loppukorkeus: 75,6 km
Alkupiste: 70,235N 21,034E
Loppupiste: 70,067N 21,052E
Suunta: 177,9°
Kallistuskulma: 29,1°
Tulonopeus: 17,2 km/s
Radiantin R,A,: 23:13 (348,4°)
Radiantin Dekl,: 39,7°
Meteoriparvi: Sporadinen
Meteoroidin rataelementit:
Perihelietäisyys: 0,958 AU
Eksentrisyys: 0,757
Inklinaatio: 12,5°
Nousevan solmun pituus: 314,9°
Perihelin argumentti: 159,2°
Keskianomalia: 1,9°
Epookki: 2022 FEB 04 00:41:02
orbit plot

Ei-interaktiivinen kuvaaja | Interaktiivinen kuvaaja

position vs time
speed and acceleration