🇳🇴 🇬🇧 🇩🇪 🇨🇿 🇫🇮

Meteor, poloha: Tromsø 2022-02-06 23:46:56 UTC

Soubor KML  |  InteraktivnĂ­ mapa

Mapa zobrazuje dráhy meteoru. Světlejší čáry ukazují směry od pozorovacích stanic při objevení se meteoru a tmavší čáry, kde byl naposledy viděn. Modrá šipka značí viditelnou dráhu meteoru.

static map
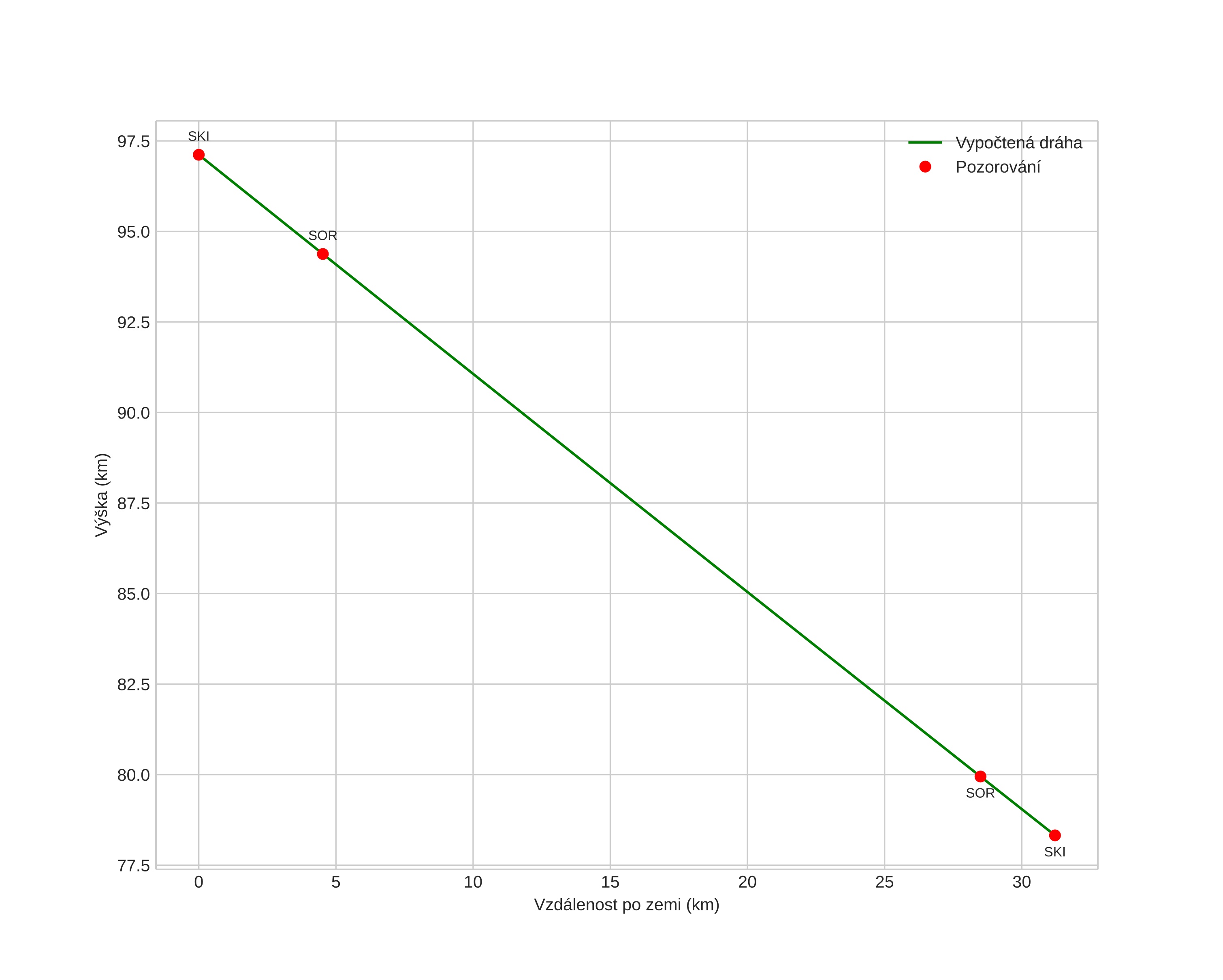
height profile
Atmosférická dráha meteoru:
Počáteční výška: 96,6 km
Konečná výška: 78,2 km
Počáteční poloha: 69,806N 18,479E
Konečná poloha: 70,072N 18,201E
Směr: 340,5°
Sklon: 30,3°
VstupnĂ­ rychlost: 42,9 km/s
Rektascenze radiantu: 11:15 (169,0°)
Deklinace radiantu: 10,1°
MeteorickĂ˝ roj: sporadickĂ˝
Elementy dráhy meteoroidu:
Vzdálenost v periheliu: 0,072 AU
Excentricita: 0,970
Sklon dráhy: 18,2°
Délka vzestupného uzlu: 317,9°
Argument perihelia: 331,9°
Střední anomálie: 351,7°
Epocha: 2022 FEB 06 23:46:56
orbit plot

NeinteraktivnĂ­ graf | InteraktivnĂ­ graf

position vs time
speed and acceleration