🇳🇴 🇬🇧 🇩🇪 🇨🇿 🇫🇮

Meteor Tromsøin yllä 2022-02-06 23:46:56 UTC

KML-tiedosto  |  Interaktiivinen kartta

Kartta näyttää meteorin suuntahavainnot. Vaaleammat viivat näyttävät suunnat havaintoasemilta meteorin ilmestyessä, ja tummemmat viivat näyttävät, missä se viimeksi nähtiin. Sininen nuoli näyttää meteorin näkyvän lennon.

static map
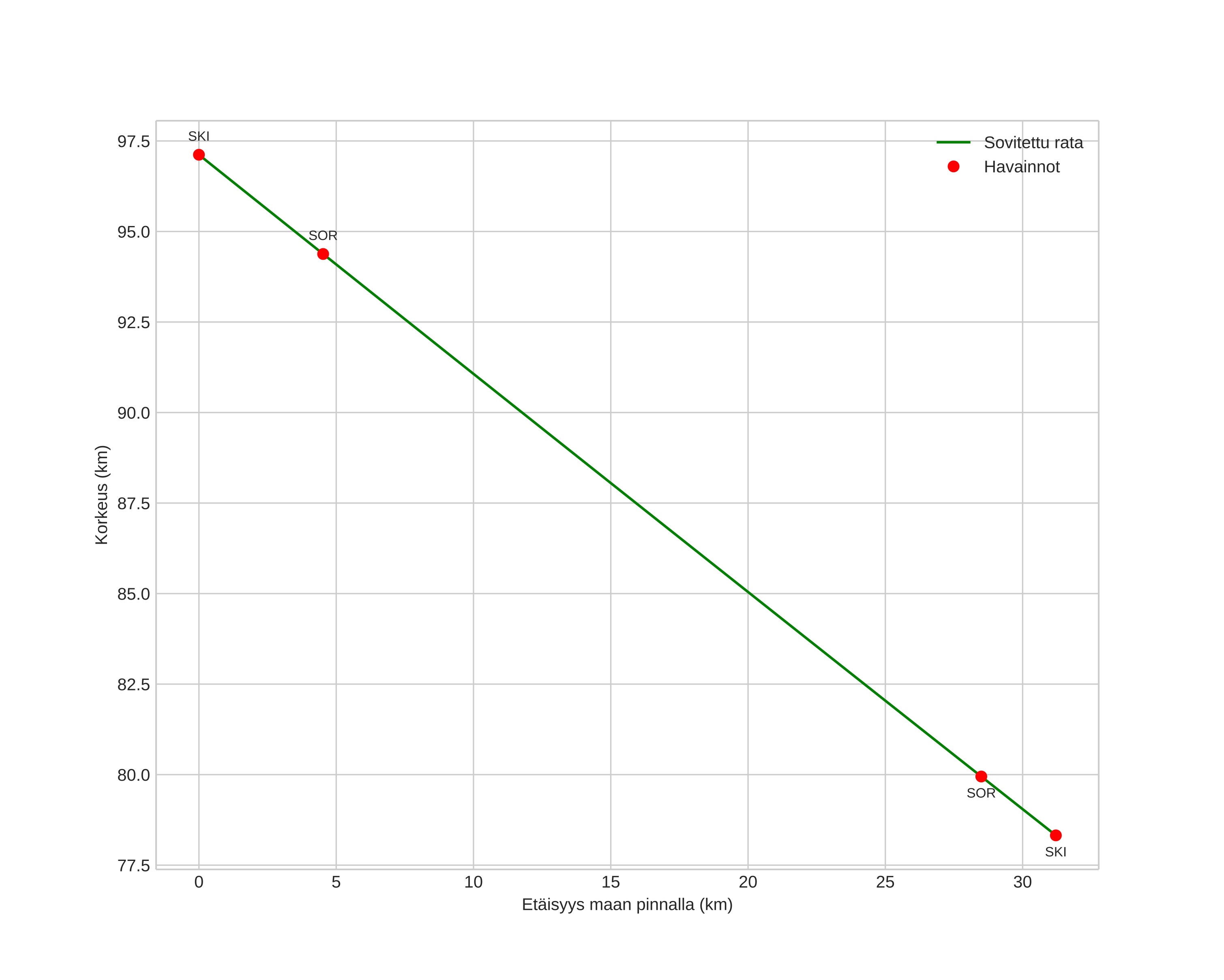
height profile
Meteorin ilmakehärata:
Alkukorkeus: 96,6 km
Loppukorkeus: 78,2 km
Alkupiste: 69,806N 18,479E
Loppupiste: 70,072N 18,201E
Suunta: 340,5°
Kallistuskulma: 30,3°
Tulonopeus: 42,9 km/s
Radiantin R,A,: 11:15 (169,0°)
Radiantin Dekl,: 10,1°
Meteoriparvi: Sporadinen
Meteoroidin rataelementit:
Perihelietäisyys: 0,072 AU
Eksentrisyys: 0,970
Inklinaatio: 18,2°
Nousevan solmun pituus: 317,9°
Perihelin argumentti: 331,9°
Keskianomalia: 351,7°
Epookki: 2022 FEB 06 23:46:56
orbit plot

Ei-interaktiivinen kuvaaja | Interaktiivinen kuvaaja

position vs time
speed and acceleration