🇳🇴 🇬🇧 🇩🇪 🇨🇿 🇫🇮

Meteor, poloha: Skjervøy 2022-02-08 05:25:34 UTC

Soubor KML  |  InteraktivnĂ­ mapa

Mapa zobrazuje dráhy meteoru. Světlejší čáry ukazují směry od pozorovacích stanic při objevení se meteoru a tmavší čáry, kde byl naposledy viděn. Modrá šipka značí viditelnou dráhu meteoru.

static map
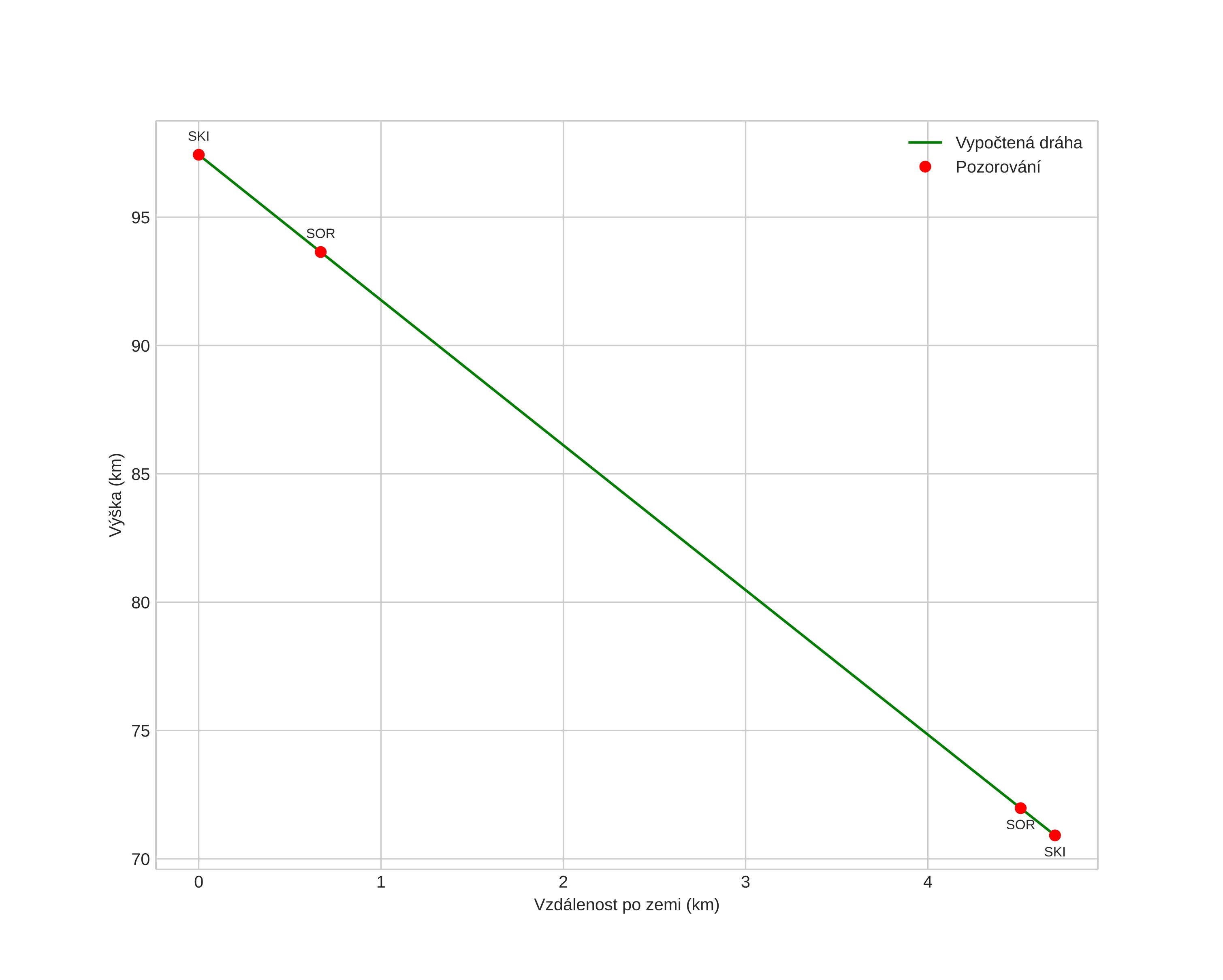
height profile
Atmosférická dráha meteoru:
Počáteční výška: 97,7 km
Konečná výška: 71,1 km
Počáteční poloha: 70,351N 20,331E
Konečná poloha: 70,346N 20,456E
Směr: 97,2°
Sklon: 79,9°
VstupnĂ­ rychlost: 33,0 km/s
Rektascenze radiantu: 13:57 (209,3°)
Deklinace radiantu: 68,9°
MeteorickĂ˝ roj: sporadickĂ˝
Elementy dráhy meteoroidu:
Vzdálenost v periheliu: 0,915 AU
Excentricita: 0,984
Sklon dráhy: 45,0°
Délka vzestupného uzlu: 319,1°
Argument perihelia: 211,4°
Střední anomálie: 360,0°
Epocha: 2022 FEB 08 05:25:34
orbit plot

NeinteraktivnĂ­ graf | InteraktivnĂ­ graf

position vs time
speed and acceleration