🇳🇴 🇬🇧 🇩🇪 🇨🇿 🇫🇮

Meteor Skjervøyn yllä 2022-02-08 05:25:34 UTC

KML-tiedosto  |  Interaktiivinen kartta

Kartta näyttää meteorin suuntahavainnot. Vaaleammat viivat näyttävät suunnat havaintoasemilta meteorin ilmestyessä, ja tummemmat viivat näyttävät, missä se viimeksi nähtiin. Sininen nuoli näyttää meteorin näkyvän lennon.

static map
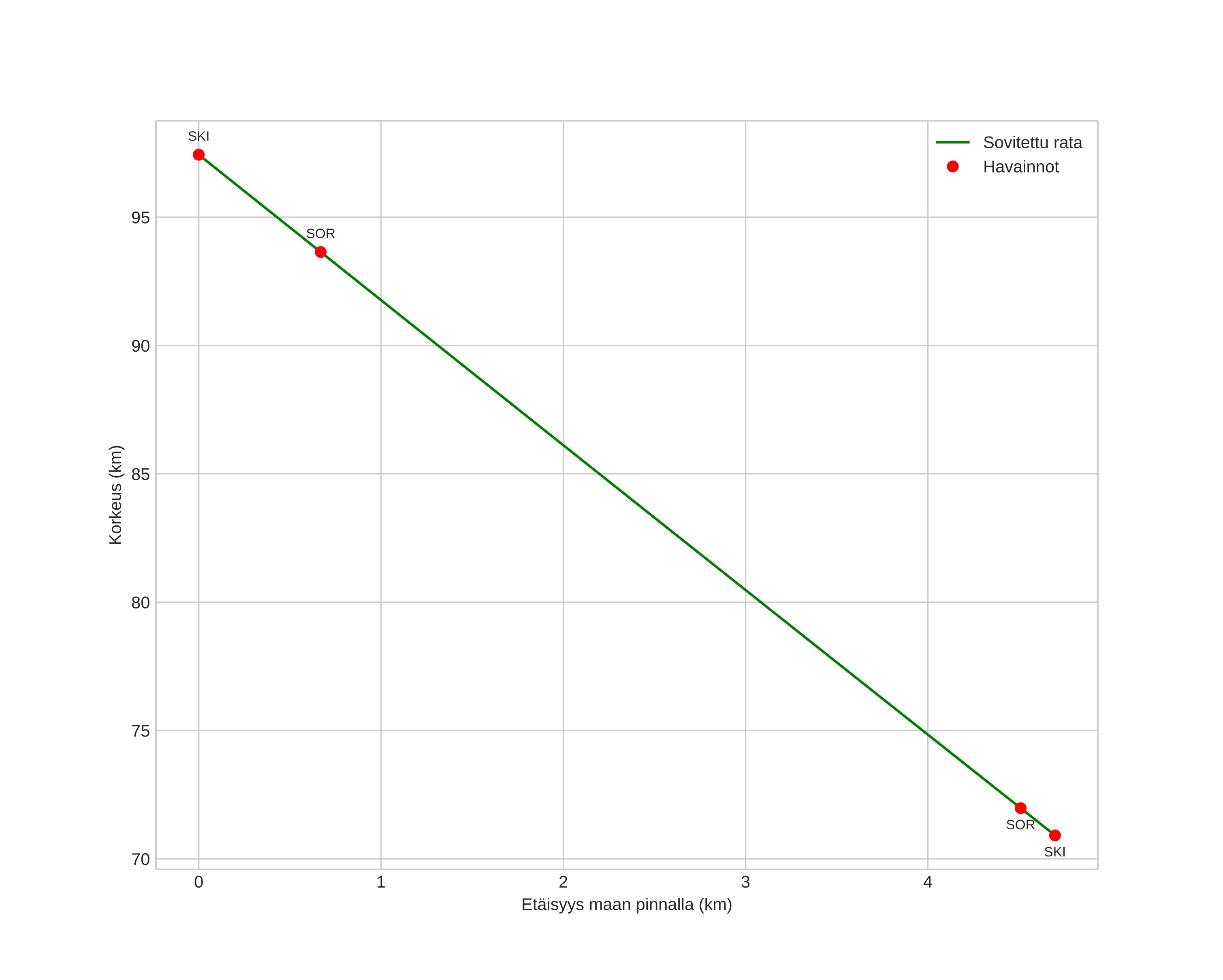
height profile
Meteorin ilmakehärata:
Alkukorkeus: 97,7 km
Loppukorkeus: 71,1 km
Alkupiste: 70,351N 20,331E
Loppupiste: 70,346N 20,456E
Suunta: 97,2°
Kallistuskulma: 79,9°
Tulonopeus: 33,0 km/s
Radiantin R,A,: 13:57 (209,3°)
Radiantin Dekl,: 68,9°
Meteoriparvi: Sporadinen
Meteoroidin rataelementit:
Perihelietäisyys: 0,915 AU
Eksentrisyys: 0,984
Inklinaatio: 45,0°
Nousevan solmun pituus: 319,1°
Perihelin argumentti: 211,4°
Keskianomalia: 360,0°
Epookki: 2022 FEB 08 05:25:34
orbit plot

Ei-interaktiivinen kuvaaja | Interaktiivinen kuvaaja

position vs time
speed and acceleration